Skip to main content
U.S. Department of Energy
Office of Scientific and Technical Information

Tunnel junction-enabled monolithically integrated GaN micro-light emitting transistor

Journal Article · · Applied Physics Letters
DOI:https://doi.org/10.1063/5.0213300· OSTI ID:2371069

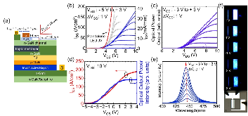
GaN/InGaN microLEDs are a very promising technology for next-generation displays. Switching control transistors and their integration are key components in achieving high-performance, efficient displays. Monolithic integration of microLEDs with GaN switching devices provides an opportunity to control microLED output power with capacitive (voltage)-controlled rather than current-controlled schemes. This approach can greatly reduce system complexity for the driver circuit arrays while maintaining device opto-electronic performance. In this work, we demonstrate a 3-terminal GaN micro-light emitting transistor that combines a GaN/InGaN blue tunneling-based microLED with a GaN n-channel FET. Further, the integrated device exhibits excellent gate control, drain current control, and optical emission control. This work provides a promising pathway for future monolithic integration of GaN FETs with microLED to enable fast switching, high-efficiency microLED display and communication systems.

Research Organization:
Sandia National Laboratories (SNL-NM), Albuquerque, NM (United States)
Sponsoring Organization:
USDOE National Nuclear Security Administration (NNSA); USDOE Office of Energy Efficiency and Renewable Energy (EERE), Energy Efficiency Office. Building Technologies Office; US Department of the Navy, Office of Naval Research (ONR)
Grant/Contract Number:
NA0003525
OSTI ID:
2371069
Report Number(s):
SAND--2024-07055J
Journal Information:
Applied Physics Letters, Journal Name: Applied Physics Letters Journal Issue: 22 Vol. 124; ISSN 0003-6951
Publisher:
American Institute of Physics (AIP)Copyright Statement
Country of Publication:
United States
Language:
English

References (28)

Monolithically Integrated μLEDs/HEMTs Microdisplay on a Single Chip by a Direct Epitaxial Approach journal May 2021
Active‐Matrix GaN µ‐LED Display Using Oxide Thin‐Film Transistor Backplane and Flip Chip LED Bonding journal December 2018
Wafer‐scale monolithic hybrid integration of Si‐based IC and III–V epi‐layers—A mass manufacturable approach for active matrix micro‐LED micro‐displays journal March 2018
26.2: Invited Paper: High Brightness, Emissive Microdisplay by Integration of III‐V LEDs with Thin Film Silicon Transistors journal June 2015
19‐1: Invited Paper: Micro‐LED Microdisplays by Integration of III‐V LEDs with Silicon Thin Film Transistors journal May 2017
A Direct Epitaxial Approach To Achieving Ultrasmall and Ultrabright InGaN Micro Light-Emitting Diodes (μLEDs) journal January 2020
Wafer-scale monolithic integration of full-colour micro-LED display using MoS2 transistor journal April 2022
Tunneling-based carrier regeneration in cascaded GaN light emitting diodes to overcome efficiency droop journal August 2013
Selective epitaxial growth of monolithically integrated GaN-based light emitting diodes with AlGaN/GaN driving transistors journal March 2014
Metal-interconnection-free integration of InGaN/GaN light emitting diodes with AlGaN/GaN high electron mobility transistors journal May 2015
Polarization control in nitride quantum well light emitters enabled by bottom tunnel-junctions journal May 2019
Bottom tunnel junction blue light-emitting field-effect transistors journal July 2020
Fully transparent GaN homojunction tunnel junction-enabled cascaded blue LEDs journal August 2020
Low voltage drop tunnel junctions grown monolithically by MOCVD journal February 2021
III-Nitride p-down green (520 nm) light emitting diodes with near-ideal voltage drop journal July 2022
All-MOCVD-grown gallium nitride diodes with ultra-low resistance tunnel junctions journal January 2021
Integration of GaN light-emitting diodes with a-Si:H thin-film transistors for flexible displays journal May 2019
Design and simulation of a III-Nitride light emitting transistor journal October 2024
Monolithic Integration of AlGaN/GaN HEMT on LED by MOCVD journal March 2014
High Performance Monolithically Integrated GaN Driving VMOSFET on LED journal June 2017
Monolithic Integration of GaN Nanowire Light-Emitting Diode With Field Effect Transistor journal March 2019
Monolithic Integration of GaN-Based Green Micro-LED and Quasi-Vertical MOSFET Utilizing a Hybrid Tunnel Junction journal July 2023
Low-Leakage High-Breakdown Laterally Integrated HEMT-LED via n-GaN Electrode journal May 2016
Effective Modulation of GaN-on-Si LED via Indigenous MOSFET Engineering journal November 2021
Comparative Breakdown Study of Mesa- and Ion-Implantation-Isolated AlGaN/GaN High-Electron-Mobility Transistors on Si Substrate journal July 2012
GaN-Based Light Emitting Diodes with Tunnel Junctions journal August 2001
Monolithically integrated voltage-controlled MOSFET-LED device based on a GaN-on-silicon LED epitaxial wafer journal February 2021
Lateral Hydrogen Diffusion at p-GaN Layers in Nitride-Based Light Emitting Diodes with Tunnel Junctions journal August 2013

Figures / Tables (5)


Similar Records

Enhanced sheet carrier densities in polarization controlled AlInN/AlN/GaN/InGaN field-effect transistor on Si (111)
Journal Article · Wed Jul 15 00:00:00 EDT 2015 · AIP Advances · OSTI ID:22492256

Steep slope transistors with threshold switching devices
Patent · Mon Nov 29 23:00:00 EST 2021 · OSTI ID:1860130

Selective epitaxial growth of monolithically integrated GaN-based light emitting diodes with AlGaN/GaN driving transistors
Journal Article · Sun Mar 02 23:00:00 EST 2014 · Applied Physics Letters · OSTI ID:22283090