Analysis and modeling of the equilibrium behaviors of U and Pu in molten LiCl-KCl/Cd system at 500 °C
- Idaho National Lab. (INL), Idaho Falls, ID (United States). Pyroprocessing Department
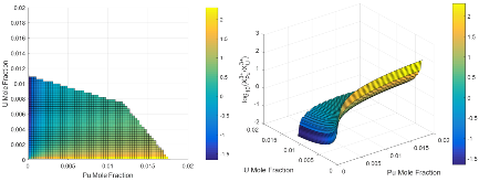
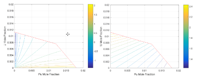
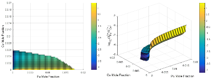
In the field of pyroprocessing of used nuclear fuels, liquid cadmium is applied in different ways to recover transuranics from molten salt, while effecting some degree of separations between transuranics and lanthanides. In this work, a model of the separation performance between uranium and plutonium across the phase boundary between molten salt and liquid cadmium is presented. The salt is the LiCl-KCl eutectic with solute concentrations of UCl3 and PuCl3. The cadmium is the liquid cadmium phase field from the Cd-U-Pu ternary alloy system. Lastly, the model used to describe the behavior of uranium and plutonium in the salt/cadmium system is applied to describe the behavior of plutonium and lanthanide in the salt/cadmium system.
- Research Organization:
- Idaho National Laboratory (INL), Idaho Falls, ID (United States)
- Sponsoring Organization:
- USDOE Office of Nuclear Energy (NE)
- Grant/Contract Number:
- AC07-05ID14517
- OSTI ID:
- 1478469
- Report Number(s):
- INL/JOU--18-44719-Rev000
- Journal Information:
- Journal of Nuclear Materials, Journal Name: Journal of Nuclear Materials Journal Issue: C Vol. 508; ISSN 0022-3115
- Publisher:
- ElsevierCopyright Statement
- Country of Publication:
- United States
- Language:
- English
Similar Records
Uranium exchange kinetics in a molten LiCl-KCl/Cd system at 500 °C
Liquid cadmium cathode performance model based on the equilibrium behaviors of U and Pu in molten LiCl–KCl/Cd system at 500°C
 
                                                 
                                                 
                                                 
                                                 
                                                 
                                                 
                                                 
                                                 
                                                 
                                                 
                                                 
                                                 
                                                 
                                                 
                                                 
                                                 
                                                 
                                                 
                                                 
                                                 
                                                 
                                                 
                                                