Skip to main content
U.S. Department of Energy
Office of Scientific and Technical Information

Semi–Analytical Modeling of Transient Stream Drawdown and Depletion in Response to Aquifer Pumping

Journal Article · · Ground Water
DOI:https://doi.org/10.1111/gwat.13425· OSTI ID:2404608
 [1];  [2];  [3]
  1. California Polytechnic State Univ. (CalPoly), San Luis Obispo, CA (United States)
  2. Chung Yuan Christian University, Taoyuan City (Taiwan)
  3. Sandia National Lab. (SNL-NM), Albuquerque, NM (United States)

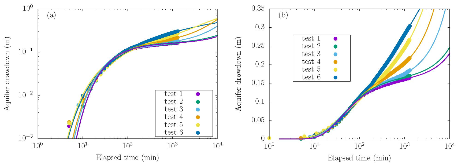
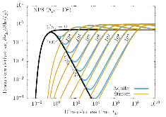
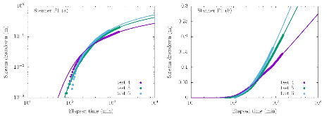
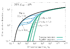
Analytical and semi–analytical models for stream depletion with transient stream stage drawdown induced by groundwater pumping are developed to address a deficiency in existing models, namely, the use of a fixed stream stage condition at the stream–aquifer interface. Here field data are presented to demonstrate that stream stage drawdown does indeed occur in response to groundwater pumping near aquifer–connected streams. A model that predicts stream depletion with transient stream drawdown is developed based on stream channel mass conservation and finite stream channel storage. The resulting models are shown to reduce to existing fixed–stage models in the limit as stream channel storage becomes infinitely large, and to the confined aquifer flow with a no–flow boundary at the streambed in the limit as stream storage becomes vanishingly small. The model is applied to field measurements of aquifer and stream drawdown, giving estimates of aquifer hydraulic parameters, streambed conductance, and a measure of stream channel storage. The results of the modeling and data analysis presented herein have implications for sustainable groundwater management.

Research Organization:
Sandia National Laboratories (SNL-NM), Albuquerque, NM (United States)
Sponsoring Organization:
USDOE National Nuclear Security Administration (NNSA)
Grant/Contract Number:
NA0003525
OSTI ID:
2404608
Report Number(s):
SAND--2024-08952J
Journal Information:
Ground Water, Journal Name: Ground Water Journal Issue: 6 Vol. 62; ISSN 0017-467X
Publisher:
Wiley - NGWACopyright Statement
Country of Publication:
United States
Language:
English

References (46)

Coupling a spatiotemporally distributed soil water budget with stream‐depletion functions to inform stakeholder‐driven management of groundwater‐dependent ecosystems journal November 2013
Analytical Solution for Constant-Rate Pumping Test in Fissured Porous Media with Double-Porosity Behaviour journal March 2011
Improved image-well technique for aquifer analysis journal March 1976
Stream depletion predictions using pumping test data from a heterogeneous stream–aquifer system (a case study from the Great Plains, USA) journal September 2003
A review of land–sea coupling by groundwater discharge of nitrogen to New England estuaries: Mechanisms and effects journal January 2007
Using flow dimension sequences to interpret non-uniform aquifers with constant-rate pumping-tests: A review journal January 2019
A general framework of stream–aquifer interaction caused by variable stream stages journal June 2009
Understanding space–time patterns of groundwater system by empirical orthogonal functions: A case study in the Choshui River alluvial fan, Taiwan journal February 2010
An analytical solution for groundwater flow to a vertical well in a triangle-shaped aquifer journal November 2010
Alternative linearization of water table kinematic condition for unconfined aquifer pumping test modeling and its implications for specific yield estimates journal March 2011
Insights on pumping well interpretation from flow dimension analysis: The learnings of a multi-context field database journal January 2018
Review of analytical models to stream depletion induced by pumping: Guide to model selection journal June 2018
Well radius of influence and radius of investigation: What exactly are they and how to estimate them? journal April 2020
Evaluating the impacts of intense seasonal groundwater pumping on stream–aquifer interactions in agricultural riparian zones using a multi-parameter approach journal May 2020
A concept of maximum stream depletion rate for leaky aquifers in alluvial valleys journal June 2004
Groundwater Pumping Impacts on Real Stream Networks: Testing the Performance of Simple Management Tools journal August 2018
Analysis of Unconfined Flow Induced by Constant Rate Pumping Based on the Lagging Theory journal May 2019
Sensitivity Analysis and Calibration of an Integrated Hydrologic Model in an Irrigated Agricultural Basin With a Groundwater‐Dependent Ecosystem journal September 2019
New Analytical Models for Flow Induced by Pumping in a Stream‐Aquifer System: A New Robin Boundary Condition Reflecting Joint Effect of Streambed Width and Storage journal April 2020
A New Approach to Three‐Dimensional Flow in a Pumped Confined Aquifer Connected to a Shallow Stream: Near‐Stream and Far‐From‐Stream Groundwater Extractions journal April 2021
An Analytical Model With a Generalized Nonlinear Water Transfer Term for the Flow in Dual‐Porosity Media Induced by Constant‐Rate Pumping in a Leaky Fractured Aquifer journal July 2021
Wells near streams with semipervious beds journal June 1965
The relation between the lowering of the Piezometric surface and the rate and duration of discharge of a well using ground-water storage journal January 1935
River depletion resulting from pumping a well near a river journal January 1954
Effect of partial penetration on flow in unconfined aquifers considering delayed gravity response journal April 1974
Field-Data Analysis for Stream Depletion journal July 2003
Stream Depletion by Groundwater Pumping in Leaky Aquifers journal February 2008
Stream Depletion for Streams and Aquifers with Finite Widths journal February 2008
Stream Depletion in a Two-Layer Leaky Aquifer System journal September 2009
California groundwater management, science-policy interfaces, and the legacies of artificial legal distinctions journal April 2019
Techniques for Computing Rate and Volume of Stream Depletion by Wellsa journal March 1968
Effect of Shallow Penetration and Streambed Sediments on Aquifer Response to Stream Stage Fluctuations (Analytical Model) journal July 1999
A Stream Depletion Field Experiment journal March 2001
Drawdown and Stream Depletion Produced by Pumping in the Vicinity of a Partially Penetrating Stream journal September 2001
Analytical Model for Aquifer Response Incorporating Distributed Stream Leakage journal July 2002
Flow Depletion in a Small Stream Caused by Ground Water Abstraction from Wells journal July 2002
Pumping Test Evaluation of Stream Depletion Parameters journal May 2006
Pumping‐Induced Drawdown and Stream Depletion in a Leaky Aquifer System journal November 2006
Algorithm 368: Numerical inversion of Laplace transforms [D5] journal January 1970
Analysis of data from Non-Equilibrium Pumping Tests Allowing for Delayed Yield from Storage. journal November 1963
Well Pressure Behavior of a Naturally Fractured Reservoir journal October 1983
The Behavior of Naturally Fractured Reservoirs journal September 1963
Système Hydrologique Europeén (SHE): review and perspectives after 30 years development in distributed physically-based hydrological modelling journal June 2010
A new streamflow-routing (SFR1) package to simulate stream-aquifer interaction with MODFLOW-2000 report January 2004
Documentation of the Streamflow-Routing (SFR2) Package to Include Unsaturated Flow Beneath Streams - A Modification to SFR1 report January 2005
MODFLOW-2005 : the U.S. Geological Survey modular ground-water model--the ground-water flow process (Techniques and Methods 6-A16) report January 2005

Figures / Tables (19)