Skip to main content
U.S. Department of Energy
Office of Scientific and Technical Information

Field-induced spin polarization in the lightly Cr-substituted layered antiferromagnet NiP S3

Journal Article · · Physical Review. B

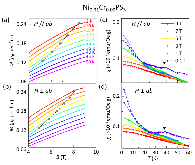
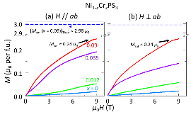
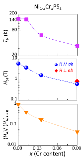
Tuning magnetic properties in layered magnets is an important route to realize novel phenomenon related to two-dimensional (2D) magnetism. Recently, tuning antiferromagnetic (AFM) properties through substitution and intercalation techniques has been widely studied in MPX3 compounds. Interesting phenomena, such as diverse AFM structures and even the signatures of ferrimagnetism, have been reported. However, long-range ferromagnetic (FM) ordering has remained elusive. Here, in this work, we explored the magnetic properties of the Cr-substituted NiP S3. We found that Cr substitution is extremely efficient in controlling spin orientation in NiP S3. Our study reveals a field-induced spin polarization in lightly (9%) Cr-substituted NiP S3, which is likely attributed to the attenuation of AFM interactions and magnetic anisotropy due to Cr doping. Our work provides a possible strategy to achieve FM phase in AFM MPX3, which could be useful for investigating 2D magnetism as well as potential device applications.

Research Organization:
Univ. of Arkansas, Fayetteville, AR (United States)
Sponsoring Organization:
USDOE Office of Science (SC), Basic Energy Sciences (BES)
Grant/Contract Number:
SC0022006; SC0023412
OSTI ID:
2350579
Alternate ID(s):
OSTI ID: 2356878
OSTI ID: 2368530
Journal Information:
Physical Review. B, Journal Name: Physical Review. B Journal Issue: 18 Vol. 109; ISSN 2469-9950
Publisher:
American Physical Society (APS)Copyright Statement
Country of Publication:
United States
Language:
English

References (98)

Variation between Antiferromagnetism and Ferrimagnetism in NiPS 3 by Electron Doping journal May 2022
Controlling Magnetic and Optical Properties of the van der Waals Crystal CrCl 3− x Br x via Mixed Halide Chemistry journal May 2018
Magnetic Structure and Metamagnetic Transitions in the van der Waals Antiferromagnet CrPS 4 journal June 2020
Layered Antiferromagnetism Induces Large Negative Magnetoresistance in the van der Waals Semiconductor CrSBr journal August 2020
Probing the Néel‐Type Antiferromagnetic Order and Coherent Magnon–Exciton Coupling in Van Der Waals VPS3 journal June 2023
Dirac Fermions in Half‐Metallic Ferromagnetic Mixed Cr1−xMxPSe3 Monolayers journal November 2020
Spin Waves and Magnetic Exchange Hamiltonian in CrSBr journal July 2022
Understanding and Tuning Magnetism in Layered Ising‐Type Antiferromagnet FePSe3 for Potential 2D Magnet journal January 2024
Magnetic Ordering in CrCl3 at the Phase Transition journal July 1982
Ferromagnetism Induced by Magnetic Dilution in Van der Waals Material Metal Thiophosphates journal February 2023
Neutron diffraction investigation of antiferromagnetism in CrCl3 journal April 1961
Investigation of the layered compound Fe0.5Cd0.5PS3 journal October 1992
A mixed valence compound in the two dimensional MPS3 family: V0.78PS3 structure and physical properties journal September 1985
Neutron diffraction study of the layered compounds MnPSe3 and FePSe3 journal December 1981
Electrical conductivity of layered transition-metal phosphorus trisulfide crystals journal November 1991
Physical properties of the cation-mixed M′MPS3 phases journal August 2000
The ordering distribution of the metal ions in the layered cation-mixed phosphorus trisulfides MnxFe1−xPS3 journal September 2003
Phase diagram, magnetic properties and specific heat of Mn1−xFexPS3 journal July 2008
Growth of high-quality CrI3 single crystals and engineering of its magnetic properties via V and Mn doping journal July 2022
Magnetic structure and glassiness in journal May 2013
Incommensurate Antiferromagnetic Order in Weakly Frustrated Two-Dimensional van der Waals Insulator CrPSe3 journal August 2023
Limited Ferromagnetic Interactions in Monolayers of MPS3 (M = Mn and Ni) journal April 2022
Modulation Doping via a Two-Dimensional Atomic Crystalline Acceptor journal November 2020
Magnetism and Its Structural Coupling Effects in 2D Ising Ferromagnetic Insulator VI3 journal November 2021
Thermal Hysteresis and Ordering Behavior of Magnetic Skyrmion Lattices journal September 2022
Ising-Type Magnetic Ordering in Atomically Thin FePS 3 journal November 2016
Voltage Control of a van der Waals Spin-Filter Magnetic Tunnel Junction journal January 2019
Atomically Thin CrCl 3 : An In-Plane Layered Antiferromagnetic Insulator journal April 2019
Persistence of Magnetism in Atomically Thin MnPS 3 Crystals journal March 2020
Stacking-Dependent Interlayer Magnetic Coupling in 2D CrI 3 /CrGeTe 3 Nanostructures for Spintronics journal December 2019
Preparation and properties of the solid solution series zinc iron phosphorus trisulfide (Zn1-xFexPS3) (0 .leq. x .leq. 1) journal October 1975
Half-Metallicity in MnPSe 3 Exfoliated Nanosheet with Carrier Doping journal July 2014
Discovery of intrinsic ferromagnetism in two-dimensional van der Waals crystals journal April 2017
Layer-dependent ferromagnetism in a van der Waals crystal down to the monolayer limit journal June 2017
Very large tunneling magnetoresistance in layered magnetic semiconductor CrI3 journal June 2018
Suppression of magnetic ordering in XXZ-type antiferromagnetic monolayer NiPS3 journal January 2019
Phase-controllable growth of ultrathin 2D magnetic FeTe crystals journal July 2020
Néel-type skyrmion in WTe2/Fe3GeTe2 van der Waals heterostructure journal July 2020
Electrical and magnetic anisotropies in van der Waals multiferroic CuCrP2S6 journal February 2023
Isostructural Mott transition in 2D honeycomb antiferromagnet V0.9PS3 journal July 2019
Two-dimensional itinerant ferromagnetism in atomically thin Fe3GeTe2 journal August 2018
Spin-induced linear polarization of photoluminescence in antiferromagnetic van der Waals crystals journal April 2021
Electrical control of 2D magnetism in bilayer CrI3 journal April 2018
Controlling magnetism in 2D CrI3 by electrostatic doping journal May 2018
Electric-field control of magnetism in a few-layered van der Waals ferromagnetic semiconductor journal July 2018
Imaging the Néel vector switching in the monolayer antiferromagnet MnPSe3 with strain-controlled Ising order journal April 2021
Gate-tunable room-temperature ferromagnetism in two-dimensional Fe3GeTe2 journal October 2018
Coherent many-body exciton in van der Waals antiferromagnet NiPS3 journal July 2020
The intercalation of 1,10-phenanthroline into layered NiPS3via iron dopant seeding journal January 2020
Physical properties of new ordered bimetallic phases M0.25Cd0.75PS3 (M = ZnII, NiII, CoII, MnII) journal January 2020
Tuning the magnetic properties of NiPS 3 through organic-ion intercalation journal January 2022
Magnetic properties and specific heat of new spin glass Mn0.5Fe0.5PS3 journal May 2003
Tunable magnetic properties in van der Waals crystals (Fe 1− x Co x ) 5 GeTe 2 journal May 2020
Emergent mixed antiferromagnetic state in MnPS3(1-x)Se3x journal January 2023
Experiments on simple magnetic model systems journal December 2001
Spin waves and the critical behaviour of the magnetization in journal July 1998
The magnetic phase diagram of journal August 1998
Magnetism in MnPSe 3 : a layered 3d 5 antiferromagnet with unusually large XY anisotropy journal May 1999
The impact of magnetic dilution on magnetic order in MnPS 3 journal May 2000
Ordering and the nature of the spin flop phase transition in MnPS 3 journal February 2000
High-field magnetization in the diluted quasi-two-dimensional Heisenberg antiferromagnet Mn 1 x Zn x PS 3 journal September 2002
Local order in layered NiPS 3 and Ni 0.7 Mg 0.3 PS 3 journal January 2011
Emergence of ferrimagnetism in Li-intercalated NiPS3 journal September 2022
On the origin of magnetic anisotropy in two dimensional CrI 3 journal June 2017
Antiferromagnetic ordering in van der Waals 2D magnetic material MnPS 3 probed by Raman spectroscopy journal July 2019
High field magnetization of FePS 3 journal January 2020
Magnetic structure and exchange interactions in the layered semiconductor CrPS 4 journal July 2020
Magnetic exchange interactions in the van der Waals layered antiferromagnet MnPSe3 journal January 2021
Chemical tuning of magnetic anisotropy and correlations in Ni1−xFexPS3 journal November 2021
( Fe1−xNix)5GeTe2 : An antiferromagnetic triangular Ising lattice with itinerant magnetism journal December 2022
Prediction of topological phases in metastable ferromagnetic MPX3 monolayers journal March 2023
Dilution of a layered antiferromagnet: Magnetism in Mn x Zn 1 − x P S 3 journal December 1996
Magnetic structure of the quasi-two-dimensional antiferromagnet NiPS 3 journal December 2015
Electronic and magnetic properties of single-layer M P X 3 metal phosphorous trichalcogenides journal November 2016
Magnetic exchange parameters and anisotropy of the quasi-two-dimensional antiferromagnet NiPS 3 journal October 2018
Effect of nickel substitution on magnetism in the layered van der Waals ferromagnet Fe 3 GeTe 2 journal October 2018
Domain wall pinning and hard magnetic phase in Co-doped bulk single crystalline Fe 3 GeTe 2 journal May 2019
Controlling Magnetism with Light in a Zero Orbital Angular Momentum Antiferromagnet journal February 2023
Magnetic behavior and spin-lattice coupling in cleavable van der Waals layered CrCl 3 crystals journal June 2017
Strong anisotropy in the mixed antiferromagnetic system Mn 1 − x Fe x PSe 3 journal March 2020
Local nuclear and magnetic order in the two-dimensional spin glass Mn 0.5 Fe 0.5 PS 3 journal August 2020
Highly sensitive spin-flop transition in antiferromagnetic van der Waals material M P S 3 ( M = Ni and Mn) journal June 2021
Crystal growth and anisotropic magnetic properties of quasi-two-dimensional (Fe1−xNix)2P2S6 journal July 2021
Crystal growth, exfoliation, and magnetic properties of quaternary quasi-two-dimensional CuCrP2S6 journal March 2023
Pressure-tuned valence transition, insulator-metal transition in van der Waals antiferromagnet CrPS3 journal June 2023
Controlling magnetic exchange and anisotropy by nonmagnetic ligand substitution in layered MPX3 ( M=Ni , Mn; X=S , Se) journal June 2022
Van der Waals engineering of ferromagnetic semiconductor heterostructures for spin and valleytronics journal May 2017
Antisymmetric magnetoresistance in van der Waals Fe 3 GeTe 2 /graphite/Fe 3 GeTe 2 trilayer heterostructures journal July 2019
Accessing new magnetic regimes by tuning the ligand spin-orbit coupling in van der Waals magnets journal July 2020
Controlling the anisotropy of a van der Waals antiferromagnet with light journal June 2021
Defect-mediated ferromagnetism in correlated two-dimensional transition metal phosphorus trisulfides journal October 2021
Probing magnetism in 2D van der Waals crystalline insulators via electron tunneling journal May 2018
Giant tunneling magnetoresistance in spin-filter van der Waals heterostructures journal May 2018
Probing magnetism in 2D materials at the nanoscale with single-spin microscopy journal April 2019
Intrinsic 2D-XY ferromagnetism in a van der Waals monolayer journal October 2021
Magnetic Properties of Layered Compound MnPS 3 journal December 1986
Tuning Magnetic and Transport Properties in Quasi-2D (Mn1−xNix)2P2S6 Single Crystals journal July 2021
The antiferromagnetic phase transition in the layered Cu0.15Fe0.85PS3 semiconductor: experiment and DFT modelling journal January 2022

Figures / Tables (6)