Skip to main content
U.S. Department of Energy
Office of Scientific and Technical Information

High thermoelectric performance in (Bi0.25Sb0.75)2Te3 due to band convergence and improved by carrier concentration control

Journal Article · · Materials Today
 [1];  [2];  [2];  [3];  [3];  [3]
  1. Northwestern Univ., Evanston, IL (United States); California Inst. of Technology (CalTech), Pasadena, CA (United States); Samsung Advanced Institute of Technology, Samsung Electronics (South Korea)
  2. California Inst. of Technology (CalTech), Pasadena, CA (United States)
  3. Northwestern Univ., Evanston, IL (United States); California Inst. of Technology (CalTech), Pasadena, CA (United States)

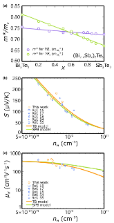
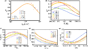
Bi2Te3 has been recognized as an important cooling material for thermoelectric applications. Yet its thermoelectric performance could still be improved. Here we propose a band engineering strategy by optimizing the converging valence bands of Bi2Te3 and Sb2Te3 in the (Bi1-xSbx)2Te3 system when x = 0.75. Band convergence successfully explains the sharp increase in density-of-states effective mass yet relatively constant mobility and optical band gap measurement. This band convergence picture guides the carrier concentration tuning for optimum thermoelectric performance. To synthesize homogeneous textured and optimally doped (Bi0.25Sb0.75)2Te3, excess Te was chosen as the dopant. Uniform control of the optimized thermoelectric composition was achieved by zone-melting which utilizes separate solidus and liquidus compositions to obtain zT = 1.05 (at 300 K) without nanostructuring.

Research Organization:
Energy Frontier Research Centers (EFRC) (United States). Solid-State Solar-Thermal Energy Conversion Center (S3TEC); Massachusetts Inst. of Technology, Cambridge, MA (United States)
Sponsoring Organization:
USDOE Office of Science (SC), Basic Energy Sciences (BES) (SC-22)
Grant/Contract Number:
SC0001299; SC0001299
OSTI ID:
1470452
Journal Information:
Materials Today, Journal Name: Materials Today Journal Issue: 8 Vol. 20; ISSN 1369-7021
Publisher:
ElsevierCopyright Statement
Country of Publication:
United States
Language:
English

References (47)

Thermoelectric Power and Scattering of Carriers in Bi2?xSnxTe3 with Layered Structure journal February 1997
Influence of Sn on Galvanomagnetic Properties of Layered p-(Bi1?xSbx)2Te3 Semiconductors journal February 2002
The Criteria for Beneficial Disorder in Thermoelectric Solid Solutions journal October 2012
Applying Quantitative Microstructure Control in Advanced Functional Composites journal December 2013
Seebeck coefficient and electrical conductivity in p-(Bi1−xSbx)2 Te3 at room temperature journal December 1983
Valence-Band Properties of Bi2Te3 from Galvanomagnetic Measurements journal August 1973
Non-Parabolicity of the Highest Valence Band of Bi2Te3 from Shubnikov-de Haas Effect journal April 1976
Investigation of the highest valence band in (Bi1-xSbx)2Te3 crystals journal November 1977
Galvanomagnetic transport properties of Sb2Te3 journal March 1978
Investigations on a two-valence band model for Sb2Te3 journal September 1981
Investigation of the Valence Band Structure of Thermoelectric (Bi1−xSbx)2Te3 Single Crystals journal November 1988
Two Valence Subbands in Single Crystals of Bismuth Telluride Doped with Lead and Its Electrical Properties journal January 1989
Band structure of indium antimonide journal January 1957
Transport properties of p-type Bi2Te3Sb2Te3 alloys in the temperature range 80–370°K journal September 1962
The optical properties of p-type Bi2Te3Sb2Te3 alloys between 2–15 microns journal September 1962
Doping properties of Sb2Te3 indicating a two valence band model journal August 1965
Study of the Bi-Sb-Te ternary phase diagram journal February 1992
Thermoelectric properties of (BixSb1−x)2Te3 single crystal solid solutions grown by the T.H.M. method journal August 1992
Transport properties analysis of single crystals (BixSb1 − x)2Te3 grown by the traveling heater method journal May 1993
Evidence for a second valence band in p-type Bi2Te3 from Magneto-Seebeck and Shubnikov-De Haas-data journal July 1972
Shubnikov-de Haas effect in p-type Sb2 Te3 journal August 1973
Compound tellurides and their alloys for peltier cooling—A review journal October 1972
Thermoelectric properties of p-type (Bi2Te3)x(Sb2Te3)1−x crystals prepared via zone melting journal April 2005
Zone Leveling Crystal Growth of Thermoelectric PbTe Alloys with Sb 2 Te 3 Widmanstätten Precipitates journal September 2011
Identifying the Specific Nanostructures Responsible for the High Thermoelectric Performance of (Bi,Sb) 2 Te 3 Nanocomposites journal September 2010
Convergence of electronic bands for high performance bulk thermoelectrics journal May 2011
Complex thermoelectric materials journal February 2008
A new class of doped nanobulk high-figure-of-merit thermoelectrics by scalable bottom-up assembly journal January 2012
Ambipolar field effect in the ternary topological insulator (BixSb1–x)2Te3 by composition tuning journal October 2011
Importance of non-parabolic band effects in the thermoelectric properties of semiconductors journal November 2013
Bismuth telluride compounds with high thermoelectric figures of merit journal January 2003
Recent Studies of Bismuth Telluride and Its Alloys journal October 1961
Figure of merit of quaternary (Sb0.75Bi0.25)2−xInxTe3 single crystals journal July 2008
Enhanced thermoelectric performance in p-type BiSbTe bulk alloy with nanoinclusion of ZnAlO journal January 2011
A high temperature apparatus for measurement of the Seebeck coefficient journal June 2011
Temperature dependent band gap in PbX (X = S, Se, Te) journal December 2013
Galvanomagnetic Effects in p-Type Bismuth Telluride journal September 1958
Optical band gap and the Burstein–Moss effect in iodine doped PbTe using diffuse reflectance infrared Fourier transform spectroscopy journal July 2013
Connecting Thermoelectric Performance and Topological-Insulator Behavior: Bi 2 Te 3 and Bi 2 Te 2 Se from First Principles journal January 2015
Valence-band energy spectrum of solid solutions of narrow-gap-semiconductor Bi 2 − x Sn x Te 3 single crystals journal December 1994
First-principles electronic structure and its relation to thermoelectric properties of Bi 2 Te 3 journal February 2001
Effect of p 1 / 2 corrections in the electronic structure of Bi 2 Te 3 compounds journal October 2003
Electronic structure of the thermoelectric materials Bi 2 Te 3 and Sb 2 Te 3 from first-principles calculations journal August 2007
High-Thermoelectric Performance of Nanostructured Bismuth Antimony Telluride Bulk Alloys journal May 2008
Preserving Montreal Protocol Climate Benefits by Limiting HFCs journal February 2012
Dense dislocation arrays embedded in grain boundaries for high-performance bulk thermoelectrics journal April 2015
Anisotropy of plasma reflection of solid solutions (Bi2 − x Sb x )Te3 (0 < x < 1) in the Temperature Range 78–293 K journal December 2011

Cited By (19)

Manipulation of Band Degeneracy and Lattice Strain for Extraordinary PbTe Thermoelectrics journal January 2020
Complex Band Structures and Lattice Dynamics of Bi 2 Te 3 ‐Based Compounds and Solid Solutions journal April 2019
Melt-Centrifuged (Bi,Sb) 2 Te 3 : Engineering Microstructure toward High Thermoelectric Efficiency journal July 2018
Grain Boundary Engineering Nanostructured SrTiO 3 for Thermoelectric Applications journal May 2019
The Thermoelectric Properties of Bismuth Telluride journal April 2019
Effect of Dislocation Arrays at Grain Boundaries on Electronic Transport Properties of Bismuth Antimony Telluride: Unified Strategy for High Thermoelectric Performance journal April 2018
Beneficial Influence of Co‐Doping on Thermoelectric Efficiency with Respect to Electronic and Thermal Transport Properties journal March 2019
Advances in Thermoelectric Mg 3 Sb 2 and Its Derivatives journal July 2018
Enhanced Thermoelectric Performance of Cu-incorporated Bi0.5Sb1.5Te3 by Melt Spinning and Spark Plasma Sintering journal November 2019
3D extruded composite thermoelectric threads for flexible energy harvesting journal December 2019
Valleytronics in thermoelectric materials journal February 2018
Band engineering in Mg 3 Sb 2 by alloying with Mg 3 Bi 2 for enhanced thermoelectric performance journal January 2018
High thermoelectric performance in Bi 0.46 Sb 1.54 Te 3 nanostructured with ZnTe journal January 2018
Synergistic modulation of mobility and thermal conductivity in (Bi,Sb) 2 Te 3 towards high thermoelectric performance journal January 2019
Exceptional thermoelectric performance in Mg 3 Sb 0.6 Bi 1.4 for low-grade waste heat recovery journal January 2019
Observation of valence band crossing: the thermoelectric properties of CaZn 2 Sb 2 –CaMg 2 Sb 2 solid solution journal January 2018
A practical field guide to thermoelectrics: Fundamentals, synthesis, and characterization journal June 2018
Compliant and stretchable thermoelectric coils for energy harvesting in miniature flexible devices journal November 2018
Compliant and stretchable thermoelectric coils for energy harvesting in miniature flexible devices. text January 2018

Figures / Tables (6)