Skip to main content
U.S. Department of Energy
Office of Scientific and Technical Information

Machine learning models for volumetric swelling in uranium nitride

Journal Article · · Journal of Nuclear Materials
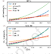
Machine learning methods are applied to predict the volumetric swelling rate of the nuclear fuel uranium nitride (UN) over various temperatures, irradiation conditions, and power densities. Both kernel-based methods and symbolic regression models for UN swelling are developed and compared with multiple experimental datasets. We find that the UN pellet geometry and dimensions must be taken into account to accurately model swelling behavior. Strong agreement is observed between the developed machine learning models and the data. The predictive error generated by the machine learning models improves on empirical models taken from the literature. Sensitivity analysis is performed to determine which properties such as temperature, burnup, and power density, are most important in the swelling process. We find that machine learning can be used to quickly develop accurate swelling models for nuclear materials. In conclusion, the presented results illustrate the potential of machine learning to determine volumetric swelling in UN.
Research Organization:
Los Alamos National Laboratory (LANL), Los Alamos, NM (United States)
Sponsoring Organization:
USDOE Laboratory Directed Research and Development (LDRD) Program; USDOE National Nuclear Security Administration (NNSA)
Grant/Contract Number:
89233218CNA000001
OSTI ID:
2570461
Report Number(s):
LA-UR--24-28699; 10.1016/j.jnucmat.2025.155980
Journal Information:
Journal of Nuclear Materials, Journal Name: Journal of Nuclear Materials Vol. 615; ISSN 0022-3115
Publisher:
ElsevierCopyright Statement
Country of Publication:
United States
Language:
English

References (41)

Genetic programming as a means for programming computers by natural selection journal June 1994
Corrosion Damage and Mechanical Properties of BR-10 Reactor Fuel-Rod Cladding with Mononitride Uranium Fuel journal January 2019
Artificial Intelligence in Physical Sciences: Symbolic Regression Trends and Perspectives journal April 2023
Cation self-diffusion in UN1+x journal February 1971
Fabrication and testing of uranium nitride fuel for space power reactors journal February 1988
Uranium nitride fuel swelling correlation journal February 1990
Point Defects and Transport Properties in Carbides and Nitrides book December 1988
Global sensitivity indices for nonlinear mathematical models and their Monte Carlo estimates journal February 2001
A machine learning approach to thermal conductivity modeling: A case study on irradiated uranium-molybdenum nuclear fuels journal April 2019
Data-driven methods for diffusivity prediction in nuclear fuels journal October 2023
Machine learning method to determine concentrations of structural defects in irradiated materials journal June 2024
Machine learning in nuclear materials research journal April 2022
Variance based sensitivity analysis of model output. Design and estimator for the total sensitivity index journal February 2010
An effective screening design for sensitivity analysis of large models journal October 2007
Finite temperature properties of uranium mononitride journal April 2023
Simulations of self- and Xe diffusivity in uranium mononitride including chemistry and irradiation effects journal December 2023
Assessment of uranium nitride interatomic potentials journal November 2024
Enhancing nuclear data validation analysis by using machine learning journal July 2020
Nuclear energy system’s behavior and decision making using machine learning journal December 2017
Transferability in Machine Learning for Electronic Structure via the Molecular Orbital Basis journal July 2018
Ex Machina Determination of Structural Correlation Functions journal May 2020
The Rise of Neural Networks for Materials and Chemical Dynamics journal July 2021
Machine Learning of Coarse-Grained Molecular Dynamics Force Fields journal April 2019
Quantum machine learning journal September 2017
Machine learning phases of matter journal February 2017
Machine learning for molecular and materials science journal July 2018
Atomic mechanisms of mass transport in ceramic nuclear fuel materials journal January 1990
Machine learning approaches for structural and thermodynamic properties of a Lennard-Jones fluid journal September 2020
Machine learning symbolic equations for diffusion with physics-based descriptions journal February 2022
Discovering governing equations from data by sparse identification of nonlinear dynamical systems journal March 2016
Ridge Regression: Biased Estimation for Nonorthogonal Problems journal February 1970
Ridge Regression: Applications to Nonorthogonal Problems journal February 1970
Factorial Sampling Plans for Preliminary Computational Experiments journal May 1991
Using Machine Learning Methods to Predict Bias in Nuclear Criticality Safety journal September 2018
Machine learning and the physical sciences journal December 2019
Colloquium : Machine learning in nuclear physics journal September 2022
Nitrogen Diffusion in Uranium Nitride as Measured by Alpha Particle Activation of 15N journal December 1969
AI Feynman: A physics-inspired method for symbolic regression journal April 2020
Solving the quantum many-body problem with artificial neural networks journal February 2017
Machine Learning and Its Applications to Biology journal January 2007
Notizen: Xe-133 Diffusion in UN Single Crystals journal January 1966

Figures / Tables (9)


Similar Records

Machine learning interatomic potential for predicting the thermal properties of uranium nitride
Journal Article · Sun Nov 23 19:00:00 EST 2025 · Journal of Applied Physics · OSTI ID:3013640

Postirradiation examination from separate effects irradiation testing of uranium nitride kernels and coated particles
Journal Article · Wed Nov 25 19:00:00 EST 2020 · Journal of Nuclear Materials · OSTI ID:1735424