Skip to main content
U.S. Department of Energy
Office of Scientific and Technical Information

GODEEEP-hydro: Historical and projected power system ready hydropower data for the United States

Journal Article · · Scientific Data (Online)
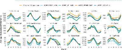
Hydropower is a critical electricity resource in the United States which, in addition to low-cost electricity generation, provides valuable ancillary grid services, and supports the integration of nondispatchable weather-dependent resources (e.g., wind and solar). Despite its value to the grid, there are very few comprehensive datasets available from which to study both historical and future impacts of climate, weather driven energy droughts, and integration of other weather driven generation. In this paper, we present a hydropower generation dataset covering 1,452 hydroelectric plants in the contiguous U.S. The dataset contains monthly and weekly hydropower generation estimates for both historical (1982–2019) and future (2020–2099) periods which includes 4 future climate scenarios. In addition, this dataset provides weekly and monthly constraints such as minimum and maximum power which are particularly useful in power system models which are used to study grid reliability, transmission planning and capacity expansion.
Research Organization:
Pacific Northwest National Laboratory (PNNL), Richland, WA (United States)
Sponsoring Organization:
USDOE Laboratory Directed Research and Development (LDRD) Program
Grant/Contract Number:
AC05-76RL01830
OSTI ID:
2570361
Report Number(s):
PNNL-SA--204744
Journal Information:
Scientific Data (Online), Journal Name: Scientific Data (Online) Journal Issue: 1 Vol. 12; ISSN 2052-4463
Publisher:
Nature Publishing GroupCopyright Statement
Country of Publication:
United States
Language:
English

References (26)

Decomposition of the mean squared error and NSE performance criteria: Implications for improving hydrological modelling journal October 2009
Water storage and release policies for all large reservoirs of conterminous United States journal December 2021
Dynamically dimensioned search algorithm for computationally efficient watershed model calibration: DYNAMICALLY DIMENSIONED SEARCH ALGORITHM journal January 2007
Monte Carlo sensitivity analysis of land surface parameters using the Variable Infiltration Capacity model journal January 2007
A simple hydrologically based model of land surface water and energy fluxes for general circulation models journal January 1994
Revised monthly energy generation estimates for 1,500 hydroelectric power plants in the United States journal November 2022
Continental United States climate projections based on thermodynamic modification of historical weather journal September 2023
A Multi-Decadal Hourly Coincident Wind and Solar Power Production Dataset for the Contiguous United States journal October 2024
Monthly hydropower generation data for Western Canada to support Western-US interconnect power system studies journal May 2025
Multi-scale impacts of climate change on hydropower for long-term water-energy planning in the contiguous United States journal August 2024
Global Reach-Level 3-Hourly River Flood Reanalysis (1980–2019) journal November 2021
A Long-Term Hydrologically Based Dataset of Land Surface Fluxes and States for the Conterminous United States: Update and Extensions journal December 2013
A Physically Based Runoff Routing Model for Land Surface and Earth System Models journal June 2013
mosartwmpy: A Python implementation of the MOSART-WM coupled hydrologic routing and water management model journal June 2021
ERA5 hourly data on single levels from 1940 to present dataset March 2024
The Variable Infiltration Capacity model version 5 (VIC-5): infrastructure improvements for new applications and reproducibility journal January 2018
On an improved sub-regional water resources management representation for integration into earth system models journal January 2013
A large-scale, high-resolution hydrological model parameter data set for climate change impact assessment for the conterminous US journal January 2014
Development of a large-sample watershed-scale hydrometeorological data set for the contiguous USA: data set characteristics and assessment of regional variability in hydrologic model performance journal January 2015
Technical note: Inherent benchmark or not? Comparing Nash–Sutcliffe and Kling–Gupta efficiency scores journal January 2019
Existing Hydropower Assets (EHA) Plant Database 9505 Point of Diversion dataset January 2024
HydroWIRES B1: Monthly and Weekly Hydropower Constraints Based on Disaggregated EIA-923 Data dataset January 2024
GODEEEP-hydro - Historical and projected power system ready hydropower data for the United States dataset January 2024
Monthly Hydropower Generation Dataset for Western Canada dataset January 2025
VICGlobal: soil and vegetation parameters for the Variable Infiltration Capacity hydrological model dataset January 2021
IM3/HyperFACETS Thermodynamic Global Warming (TGW) Simulation Datasets dataset January 2022

Figures / Tables (6)


Similar Records

Monthly hydropower generation data for Western Canada to support Western-US interconnect power system studies
Journal Article · Tue May 27 20:00:00 EDT 2025 · Scientific Data (Online) · OSTI ID:2570305

The implications of future climate change on the blue water footprint of hydropower in the contiguous US
Journal Article · Wed Feb 10 19:00:00 EST 2021 · Environmental Research Letters · OSTI ID:1760131