Skip to main content
U.S. Department of Energy
Office of Scientific and Technical Information

tLaSDI: Thermodynamics-informed latent space dynamics identification

Journal Article · · Computer Methods in Applied Mechanics and Engineering
 [1];  [2];  [2];  [3]
  1. Korea Institute for Advanced Study (KIAS), Seoul (Korea, Republic of)
  2. Lawrence Livermore National Laboratory (LLNL), Livermore, CA (United States)
  3. North Carolina State University, Raleigh, NC (United States); Pohang Univ. of Science and Technology (POSTECH) (Korea, Republic of)

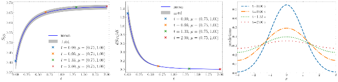
Here we propose a latent space dynamics identification method, namely tLaSDI, that embeds the first and second principles of thermodynamics. The latent variables are learned through an autoencoder as a nonlinear dimension reduction model. The latent dynamics are constructed by a neural network-based model that precisely preserves certain structures for the thermodynamic laws through the GENERIC formalism. An abstract error estimate is established, which provides a new loss formulation involving the Jacobian computation of autoencoder. The autoencoder and the latent dynamics are simultaneously trained to minimize the new loss. Computational examples demonstrate the effectiveness of tLaSDI, which exhibits robust generalization ability, even in extrapolation. In addition, an intriguing correlation is empirically observed between a quantity from tLaSDI in the latent space and the behaviors of the full-state solution.

Research Organization:
Lawrence Livermore National Laboratory (LLNL), Livermore, CA (United States)
Sponsoring Organization:
USDOE National Nuclear Security Administration (NNSA); USDOE Laboratory Directed Research and Development (LDRD) Program; USDOE Office of Science (SC), Advanced Scientific Computing Research (ASCR)
Grant/Contract Number:
AC52-07NA27344; SC0023164
OSTI ID:
2429372
Report Number(s):
LLNL--JRNL-860848; 1092545
Journal Information:
Computer Methods in Applied Mechanics and Engineering, Journal Name: Computer Methods in Applied Mechanics and Engineering Vol. 429; ISSN 0045-7825
Publisher:
ElsevierCopyright Statement
Country of Publication:
United States
Language:
English

References (38)

Approximation by superpositions of a sigmoidal function journal December 1989
POD and CVT-based reduced-order modeling of Navier–Stokes flows journal December 2006
Deep learning of thermodynamics-aware reduced-order models from data journal June 2021
Reduced order models for Lagrangian hydrodynamics journal January 2022
Multiscale modeling of inelastic materials with Thermodynamics-based Artificial Neural Networks (TANN) journal August 2022
LaSDI: Parametric Latent Space Dynamics Identification journal September 2022
Reduced order modeling of parametrized systems through autoencoders and SINDy approach: continuation of periodic solutions journal June 2023
GPLaSDI: Gaussian Process-based interpretable Latent Space Dynamics Identification through deep autoencoder journal January 2024
POD/DEIM nonlinear model order reduction of an ADI implicit shallow water equations model journal March 2013
Non-linear model reduction for the Navier–Stokes equations using residual DEIM method journal April 2014
Hidden physics models: Machine learning of nonlinear partial differential equations journal March 2018
Conservative model reduction for finite-volume models journal October 2018
Model reduction of dynamical systems on nonlinear manifolds using deep convolutional autoencoders journal November 2019
Data-driven deep learning of partial differential equations in modal space journal May 2020
Space–time reduced order model for large-scale linear dynamical systems with application to Boltzmann transport problems journal January 2021
Structure-preserving neural networks journal February 2021
A fast and accurate physics-informed neural network reduced order model with shallow masked autoencoder journal February 2022
Local Lagrangian reduced-order modeling for the Rayleigh-Taylor instability by solution manifold decomposition journal January 2023
gLaSDI: Parametric physics-informed greedy latent space dynamics identification journal September 2023
Approximation rates for neural networks with general activation functions journal August 2020
Dynamic mode decomposition of numerical and experimental data journal July 2010
SciPy 1.0: fundamental algorithms for scientific computing in Python journal February 2020
Automated reverse engineering of nonlinear dynamical systems journal June 2007
Discovering governing equations from data by sparse identification of nonlinear dynamical systems journal March 2016
Data-driven discovery of coordinates and governing equations journal October 2019
Structure-preserving integrators for dissipative systems based on reversible– irreversible splitting
  • Shang, Xiaocheng; Öttinger, Hans Christian
  • Proceedings of the Royal Society A: Mathematical, Physical and Engineering Sciences, Vol. 476, Issue 2234 https://doi.org/10.1098/rspa.2019.0446
journal February 2020
GFINNs: GENERIC formalism informed neural networks for deterministic and stochastic dynamical systems
  • Zhang, Zhen; Shin, Yeonjong; Em Karniadakis, George
  • Philosophical Transactions of the Royal Society A: Mathematical, Physical and Engineering Sciences, Vol. 380, Issue 2229 https://doi.org/10.1098/rsta.2021.0207
journal June 2022
Dynamics and thermodynamics of complex fluids.  I. Development of a general formalism journal December 1997
Dynamics and thermodynamics of complex fluids.  II. Illustrations of a general formalism journal December 1997
Preservation of thermodynamic structure in model reduction journal March 2015
OnsagerNet: Learning stable and interpretable dynamics using a generalized Onsager principle journal November 2021
Physics Perception in Sloshing Scenes With Guaranteed Thermodynamic Consistency journal February 2023
Reducing the Dimensionality of Data with Neural Networks journal July 2006
Distilling Free-Form Natural Laws from Experimental Data journal April 2009
Space--Time Least-Squares Petrov--Galerkin Projection for Nonlinear Model Reduction journal January 2019
SNS: A Solution-Based Nonlinear Subspace Method for Time-Dependent Model Order Reduction journal January 2020
POD-DEIM Based Model Order Reduction for the Spherical Shallow Water Equations with Turkel-Zwas Finite Difference Discretization journal January 2014
Neural Networks for Optimal Approximation of Smooth and Analytic Functions journal January 1996

Figures / Tables (15)


Similar Records

Thermodynamics-informed latent space dynamics identification
Software · Tue Jul 30 20:00:00 EDT 2024 · OSTI ID:code-142379

gLaSDI: Parametric physics-informed greedy latent space dynamics identification
Journal Article · Mon Jun 05 00:00:00 EDT 2023 · Journal of Computational Physics · OSTI ID:1999976

Understanding latent timescales in neural ordinary differential equation models of advection-dominated dynamical systems
Journal Article · Tue Apr 01 00:00:00 EDT 2025 · Physica. D, Nonlinear Phenomena · OSTI ID:3004189