Skip to main content
U.S. Department of Energy
Office of Scientific and Technical Information

On the Onset of Plasticity: Determination of Strength and Ductility

Journal Article · · Journal of Materials Science Research
 [1]
  1. Sandia National Lab. (SNL-CA), Livermore, CA (United States)

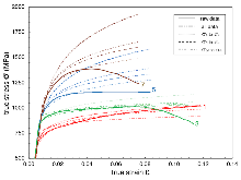
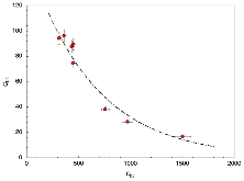
The analysis of the work hardening variation with stress reveals insight to operative stress-strain mechanisms in material systems. The onset of plasticity can be assessed and related to ensuing plastic deformation up to the structural instability using one constitutive relationship that incorporates both behaviors of rapid work hardening (Stage 3) and the asymptotic leveling of stress (Stage 4). Results are presented for the mechanical behavior analysis of Ti-6Al-4V wherein the work hardening variation of Stages 3 and 4 are found to: be dependent through a constitutive relationship; be useful in a Hall-Petch formulation of yield strength; and provide the basis for a two point-slope fit method to model the experimental work hardening and stress-strain behavior.

Research Organization:
Sandia National Laboratories (SNL-CA), Livermore, CA (United States)
Sponsoring Organization:
USDOE National Nuclear Security Administration (NNSA)
Grant/Contract Number:
NA0003525
OSTI ID:
2426030
Report Number(s):
SAND--2024-09767J
Journal Information:
Journal of Materials Science Research, Journal Name: Journal of Materials Science Research Journal Issue: 1 Vol. 13; ISSN 1927-0585
Publisher:
Canadian Center of Science and EducationCopyright Statement
Country of Publication:
United States
Language:
English

Figures / Tables (9)


Similar Records

On the Onset of Plasticity
Conference · Tue Oct 01 00:00:00 EDT 2024 · OSTI ID:2586367

On the constitutive stress-strain relationships and evaluation of the softening coefficient in work hardening mechanisms
Technical Report · Tue Feb 28 23:00:00 EST 2023 · OSTI ID:2431696

A Constitutive Structural Parameter for the Work Hardening Behavior of Additively Manufactured Ti-6Al-4V
Technical Report · Sat May 01 00:00:00 EDT 2021 · OSTI ID:1784598