Skip to main content
U.S. Department of Energy
Office of Scientific and Technical Information

From PROTAC to inhibitor: Structure-guided discovery of potent and orally bioavailable BET inhibitors

Journal Article · · European Journal of Medicinal Chemistry

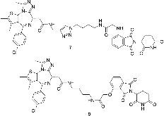
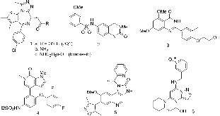
An X-ray structure of a CLICK chemistry-based BET PROTAC bound to BRD2(BD2) inspired synthesis of JQ1 derived heterocyclic amides. This effort led to the discovery of potent BET inhibitors displaying overall improved profiles when compared to JQ1 and birabresib. A thiadiazole derived 1q (SJ1461) displayed excellent BRD4 and BRD2 affinity and high potency in the panel of acute leukaemia and medulloblastoma cell lines. A structure of 1q co-crystalised with BRD4-BD1 revealed polar interactions with the AZ/BC loops, in particular with Asn140 and Tyr139, rationalising the observed affinity improvements. In addition, exploration of pharmacokinetic properties of this class of compounds suggest that the heterocyclic amide moiety improves drug-like features. Finally, our study led to the discovery of potent and orally bioavailable BET inhibitor 1q (SJ1461) as a promising candidate for further development.

Research Organization:
Argonne National Laboratory (ANL), Argonne, IL (United States). Advanced Photon Source (APS)
Sponsoring Organization:
USDOE Office of Science (SC), Basic Energy Sciences (BES)
Grant/Contract Number:
AC02-06CH11357
OSTI ID:
2423439
Journal Information:
European Journal of Medicinal Chemistry, Journal Name: European Journal of Medicinal Chemistry Vol. 251; ISSN 0223-5234
Publisher:
ElsevierCopyright Statement
Country of Publication:
United States
Language:
English

References (44)

Phenyl‐Glutarimides: Alternative Cereblon Binders for the Design of PROTACs journal November 2021
Plasma protein binding: From discovery to development journal September 2013
Dual‐target inhibitors of bromodomain and extra‐terminal proteins in cancer: A review from medicinal chemistry perspectives journal October 2021
Bromodomain and extra-terminal (BET) family proteins: New therapeutic targets in major diseases journal April 2016
Experimental and computational approaches to estimate solubility and permeability in drug discovery and development settings journal December 2012
Bromodomains: Structure, function and pharmacology of inhibition journal April 2016
Systematic evaluation of methyl ester bioisosteres in the context of developing alkenyldiarylmethanes (ADAMs) as non-nucleoside reverse transcriptase inhibitors (NNRTIs) for anti-HIV-1 chemotherapy journal July 2016
BET bromodomain inhibitors journal June 2022
Progress in the development of domain selective inhibitors of the bromo and extra terminal domain family (BET) proteins journal December 2021
A common binding motif in the ET domain of BRD3 forms polymorphic structural interfaces with host and viral proteins journal August 2021
Design, Synthesis, and Evaluation of Trivalent PROTACs Having a Functionalization Site with Controlled Orientation journal December 2021
Targeting Bromodomain-Selective Inhibitors of BET Proteins in Drug Discovery and Development journal March 2022
Disrupting Acetyl-Lysine Recognition: Progress in the Development of Bromodomain Inhibitors journal April 2015
A “Click Chemistry Platform” for the Rapid Synthesis of Bispecific Molecules for Inducing Protein Degradation journal April 2017
Impact of Target Warhead and Linkage Vector on Inducing Protein Degradation: Comparison of Bromodomain and Extra-Terminal (BET) Degraders Derived from Triazolodiazepine (JQ1) and Tetrahydroquinoline (I-BET726) BET Inhibitor Scaffolds journal May 2017
Development of Small Molecule Chimeras That Recruit AhR E3 Ligase to Target Proteins journal October 2019
Discovery of a Covalent FEM1B Recruiter for Targeted Protein Degradation Applications journal January 2022
Light-Induced Protein Degradation with Photocaged PROTACs journal September 2019
Parallel Artificial Membrane Permeability Assay:  A New Membrane for the Fast Prediction of Passive Human Skin Permeability journal May 2006
Synopsis of Some Recent Tactical Application of Bioisosteres in Drug Design journal April 2011
Selective inhibition of BET bromodomains journal September 2010
PROTACs: great opportunities for academia and industry journal December 2019
Achieving clinical success with BET inhibitors as anti-cancer agents journal March 2021
PROTAC targeted protein degraders: the past is prologue journal January 2022
Structure and acetyl-lysine recognition of the bromodomain journal August 2007
PROTACs: past, present and future journal January 2022
PROTAC degraders as chemical probes for studying target biology and target validation journal January 2022
Structure of the Brd4 ET domain bound to a C-terminal motif from γ-retroviral integrases reveals a conserved mechanism of interaction journal February 2016
Structural Basis for Acetylated Histone H4 Recognition by the Human BRD2 Bromodomain journal March 2010
Comparative structure-function analysis of bromodomain and extraterminal motif (BET) proteins in a gene-complementation system journal February 2020
Histone acetylation in gene regulation journal May 2006
Metabolism of JQ1, an inhibitor of bromodomain and extra terminal bromodomain proteins, in human and mouse liver microsomes† journal April 2020
Histone acetylation and transcriptional regulatory mechanisms journal March 1998
Phthalimide conjugation as a strategy for in vivo target protein degradation journal May 2015
Targeting BET Bromodomains in Cancer journal April 2022
BET Proteins as Targets for Anticancer Treatment journal December 2017
BRD4 Profiling Identifies Critical Chronic Lymphocytic Leukemia Oncogenic Circuits and Reveals Sensitivity to PLX51107, a Novel Structurally Distinct BET Inhibitor journal April 2018
Phase Ib Trial With Birabresib, a Small-Molecule Inhibitor of Bromodomain and Extraterminal Proteins, in Patients With Selected Advanced Solid Tumors journal October 2018
Targeting BET bromodomain proteins in solid tumors journal June 2016
In Vivo-In Vitro-In Silico Pharmacokinetic Modelling in Drug Development journal August 2011
Childhood and adolescent cancer statistics, 2014: Cancer in Children and Adolescents journal January 2014
A Comprehensive Review of BET Protein Biochemistry, Physiology, and Pathological Roles journal March 2022
The Bromodomain and Extra-Terminal Domain (BET) Family: Functional Anatomy of BET Paralogous Proteins journal November 2016
BET Proteins as Attractive Targets for Cancer Therapeutics journal October 2021

Figures / Tables (9)


Similar Records

Discovery and characterization of bromodomain 2–specific inhibitors of BRDT
Journal Article · Thu Feb 25 23:00:00 EST 2021 · Proceedings of the National Academy of Sciences of the United States of America · OSTI ID:1817641

RVX-297- a novel BD2 selective inhibitor of BET bromodomains
Journal Article · Fri Aug 12 00:00:00 EDT 2016 · Biochemical and Biophysical Research Communications · OSTI ID:22606146