Skip to main content
U.S. Department of Energy
Office of Scientific and Technical Information

Toward AlGaN channel HEMTs on AlN: Polarization-induced 2DEGs in AlN/AlGaN/AlN heterostructures

Journal Article · · APL Materials
DOI:https://doi.org/10.1063/5.0121195· OSTI ID:2421816

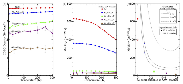
Due to its high breakdown electric field, the ultra-wide bandgap semiconductor AlGaN has garnered much attention recently as a promising channel material for next-generation high electron mobility transistors (HEMTs). A comprehensive experimental study of the effects of Al composition x on the transport and structural properties is lacking. We report the charge control and transport properties of polarization-induced 2D electron gases (2DEGs) in strained AlGaN quantum well channels in molecular-beam-epitaxy-grown AlN/AlxGa1-xN/AlN double heterostructures by systematically varying the Al content from x = 0 (GaN) to x = 0.74, spanning energy bandgaps of the conducting HEMT channels from 3.49 to 4.9 eV measured by photoluminescence. This results in a tunable 2DEG density from 0 to 3.7 × 1013 cm2. The room temperature mobilities of x ≥ 0.25 AlGaN channel HEMTs were limited by alloy disorder scattering to below 50 cm2/(V.s) for these 2DEG densities, leaving ample room for further heterostructure design improvements to boost mobilities. A characteristic alloy fluctuation energy of ≥1.8 eV for electron scattering in AlGaN alloy is estimated based on the temperature dependent electron transport experiments.

Research Organization:
Arizona State Univ., Tempe, AZ (United States)
Sponsoring Organization:
USDOE Office of Science (SC), Basic Energy Sciences (BES); National Science Foundation (NSF); US Air Force Office of Scientific Research (AFOSR)
Grant/Contract Number:
SC0021230
OSTI ID:
2421816
Alternate ID(s):
OSTI ID: 1899637
Journal Information:
APL Materials, Journal Name: APL Materials Journal Issue: 11 Vol. 10; ISSN 2166-532X
Publisher:
American Institute of Physics (AIP)Copyright Statement
Country of Publication:
United States
Language:
English

References (37)

Ultrawide-Bandgap Semiconductors: Research Opportunities and Challenges journal December 2017
Enhancement of 2D Electron Gas Mobility in an AlN/GaN/AlN Double‐Heterojunction High‐Electron‐Mobility Transistor by Epilayer Stress Engineering journal December 2019
In Situ Crystalline AlN Passivation for Reduced RF Dispersion in Strained‐Channel AlN/GaN/AlN High‐Electron‐Mobility Transistors journal October 2021
Energy band bowing parameter in AlxGa1−xN alloys journal October 2002
Rapid silicon outdiffusion from SiC substrates during molecular-beam epitaxial growth of AlGaN∕GaN∕AlN transistor structures journal October 2005
Carrier transport and confinement in polarization-induced three-dimensional electron slabs: Importance of alloy scattering in AlGaN journal January 2006
Alloy scattering in AlGaN and InGaN: A numerical study journal June 2007
Theoretical calculations of electron mobility in ternary III‐V compounds journal January 1976
Influence of the surface potential on electrical properties of AlxGa1−xN/GaN heterostructures with different Al-content: Effect of growth method journal March 2010
High mobility two-dimensional electron gases in nitride heterostructures with high Al composition AlGaN alloy barriers journal November 2010
Two-dimensional electron gases induced by spontaneous and piezoelectric polarization charges in N- and Ga-face AlGaN/GaN heterostructures journal March 1999
Two-dimensional electron gases in strained quantum wells for AlN/GaN/AlN double heterostructure field-effect transistors on AlN journal May 2014
Modeling of high composition AlGaN channel high electron mobility transistors with large threshold voltage journal December 2014
An AlN/Al 0.85 Ga 0.15 N high electron mobility transistor journal July 2016
Strained GaN quantum-well FETs on single crystal bulk AlN substrates journal February 2017
Molecular beam homoepitaxy on bulk AlN enabled by aluminum-assisted surface cleaning journal April 2020
Surface control and MBE growth diagram for homoepitaxy on single-crystal AlN substrates journal June 2020
High electron mobility of Al x Ga 1− x N evaluated by unfolding the DFT band structure journal December 2020
Record >10 MV/cm mesa breakdown fields in Al0.85Ga0.15N/Al0.6Ga0.4N high electron mobility transistors on native AlN substrates journal April 2022
Increasing the mobility and power-electronics figure of merit of AlGaN with atomically thin AlN/GaN digital-alloy superlattices journal July 2022
Molecular beam homoepitaxy of N-polar AlN on bulk AlN substrates journal September 2022
AlN barrier HFETs with AlGaN channels to shift the threshold voltage to higher positive values: a proposal journal June 2013
Next generation electronics on the ultrawide-bandgap aluminum nitride platform journal March 2021
Magnetotransport properties of a polarization-doped three-dimensional electron slab in graded AlGaN journal April 2003
RF Performance of Al0.85Ga0.15N/Al0.70Ga0.30N High Electron Mobility Transistors with 80 nm Gates journal January 2018
First RF Power Operation of AlN/GaN/AlN HEMTs With >3 A/mm and 3 W/mm at 10 GHz journal January 2021
GaN-Based RF Power Devices and Amplifiers journal February 2008
InAlN/GaN HEMTs for Operation in the 1000 $^{\circ} \hbox{C}$ Regime: A First Experiment journal July 2012
High Breakdown Voltage in RF AlN/GaN/AlN Quantum Well HEMTs journal August 2019
Effect of AlN nucleation layer growth conditions on buffer leakage in AlGaN∕GaN high electron mobility transistors grown by molecular beam epitaxy (MBE)
  • Poblenz, C.; Waltereit, P.; Rajan, S.
  • Journal of Vacuum Science & Technology B: Microelectronics and Nanometer Structures, Vol. 23, Issue 4 https://doi.org/10.1116/1.1943443
journal January 2005
Al-rich AlGaN based transistors journal March 2020
Review—Ultra-Wide-Bandgap AlGaN Power Electronic Devices journal December 2016
Analysis of 2D Transport and Performance Characteristics for Lateral Power Devices Based on AlGaN Alloys journal January 2017
AlGaN Channel High Electron Mobility Transistors with Regrown Ohmic Contacts journal March 2021
AlN/Al0.5Ga0.5N HEMTs with heavily Si-doped degenerate GaN contacts prepared via pulsed sputtering journal February 2022
Al0.75Ga0.25N/Al0.6Ga0.4N heterojunction field effect transistor with fT of 40 GHz journal May 2019
Numerical and experimental analyses of two-dimensional electron mobility in Al(In,Ga)N/AlGaN heterostructures journal April 2015

Figures / Tables (7)


Similar Records

AlN/AlGaN/AlN quantum well channel HEMTs
Journal Article · Mon May 29 00:00:00 EDT 2023 · Applied Physics Letters · OSTI ID:2421820

Polarization-induced 2D electron gases in N-polar AlGaN/AlN heterostructures on single-crystal AlN substrates
Journal Article · Mon May 22 00:00:00 EDT 2023 · Applied Physics Letters · OSTI ID:2421821