Skip to main content
U.S. Department of Energy
Office of Scientific and Technical Information

Neural-network learning of SPOD latent dynamics

Journal Article · · Journal of Computational Physics
 [1];  [2];  [3];  [1];  [4]
  1. International School for Advanced Studies (SISSA), Trieste (Italy)
  2. Argonne National Laboratory (ANL), Argonne, IL (United States)
  3. Univ. of California, San Diego, CA (United States)
  4. National Univ. of Singapore (Singapore)
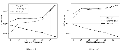
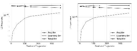
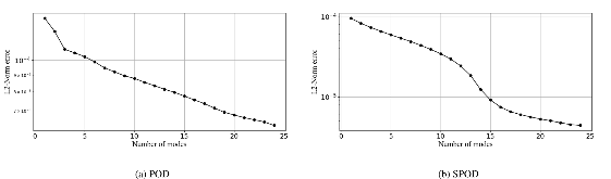
Here, we aim to reconstruct the latent space dynamics of high dimensional, quasi-stationary systems using model order reduction via the spectral proper orthogonal decomposition (SPOD). The proposed method is based on three fundamental steps: in the first, once that the mean flow field has been subtracted from the realizations (also referred to as snapshots), we compress the data from a high-dimensional representation to a lower dimensional one by constructing the SPOD latent space; in the second, we build the time-dependent coefficients by projecting the snapshots containing the fluctuations onto the SPOD basis and we learn their evolution in time with the aid of recurrent neural networks; in the third, we reconstruct the high-dimensional data from the learnt lower -dimensional representation. The proposed method is demonstrated on two different test cases, namely, a compressible jet flow, and a geophysical problem known as the Madden-Julian Oscillation. An extensive comparison between SPOD and the equivalent POD-based counterpart is provided and differences between the two approaches are highlighted. The numerical results suggest that the proposed model is able to provide low rank predictions of complex statistically stationary data and to provide insights into the evolution of phenomena characterized by specific range of frequencies. The comparison between POD and SPOD surrogate strategies highlights the need for further work on the characterization of the interplay of error between data reduction techniques and neural network forecasts.
Research Organization:
Argonne National Laboratory (ANL), Argonne, IL (United States)
Sponsoring Organization:
USDOE Office of Science (SC), Advanced Scientific Computing Research (ASCR)
Grant/Contract Number:
AC02-06CH11357
OSTI ID:
2378028
Journal Information:
Journal of Computational Physics, Journal Name: Journal of Computational Physics Vol. 468; ISSN 0021-9991
Publisher:
ElsevierCopyright Statement
Country of Publication:
United States
Language:
English

References (25)

Nonlinear generalized Langevin equations journal November 1973
Parametric non-intrusive model order reduction for flow-fields using unsupervised machine learning journal October 2021
Non-intrusive reduced order modeling of nonlinear problems using neural networks journal June 2018
Recurrent neural network closure of parametric POD-Galerkin reduced-order models based on the Mori-Zwanzig formalism journal June 2020
Data-driven POD-Galerkin reduced order model for turbulent flows journal September 2020
Physics-informed machine learning for reduced-order modeling of nonlinear problems journal December 2021
Fundamentals of Recurrent Neural Network (RNN) and Long Short-Term Memory (LSTM) network journal March 2020
Time-series learning of latent-space dynamics for reduced-order model closure journal April 2020
Broadband reconstruction of inhomogeneous turbulence using spectral proper orthogonal decomposition and Gabor modes journal February 2020
Frequency–time analysis, low-rank reconstruction and denoising of turbulent flows using SPOD journal September 2021
Madden-Julian Oscillation journal January 2005
Reduced-order modeling of advection-dominated systems with recurrent neural networks and convolutional autoencoders journal March 2021
CNN-LSTM based reduced order modeling of two-dimensional unsteady flows around a circular cylinder at different Reynolds numbers journal December 2020
Turbulence and the dynamics of coherent structures. I. Coherent structures journal January 1987
Simple, low-cost and accurate data-driven geophysical forecasting with learned kernels journal August 2021
Nonintrusive reduced order modeling framework for quasigeostrophic turbulence journal November 2019
The use of fast Fourier transform for the estimation of power spectra: A method based on time averaging over short, modified periodograms journal June 1967
Transport, Collective Motion, and Brownian Motion journal March 1965
The Proper Orthogonal Decomposition in the Analysis of Turbulent Flows journal January 1993
Long Short-Term Memory journal November 1997
Generalized Stability Theory. Part I: Autonomous Operators journal July 1996
Reconciling Non-Gaussian Climate Statistics with Linear Dynamics journal March 2009
Empirical Orthogonal Functions: The Medium is the Message journal December 2009
Spectral Empirical Orthogonal Function Analysis of Weather and Climate Data journal July 2019
PySPOD: A Python package for Spectral Proper Orthogonal Decomposition (SPOD) journal April 2021

Figures / Tables (24)