Skip to main content
U.S. Department of Energy
Office of Scientific and Technical Information

Continuous-wave GaAs/AlGaAs quantum cascade laser at 5.7 THz

Journal Article · · Nanophotonics (Online)
 [1];  [2];  [1];  [3];  [3];  [1]
  1. Univ. of California, Los Angeles, CA (United States)
  2. Sandia National Lab. (SNL-NM), Albuquerque, NM (United States). Center for Integrated Nanotechnologies
  3. California Institute of Technology (CalTech), Pasadena, CA (United States). Jet Propulsion Lab. (JPL)
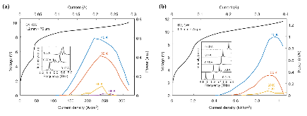
Design strategies for improving terahertz (THz) quantum cascade lasers (QCLs) in the 5–6 THz range are investigated numerically and experimentally, with the goal of overcoming the degradation in performance that occurs as the laser frequency approaches the Reststrahlen band. Two designs aimed at 5.4 THz were selected: one optimized for lower power dissipation and one optimized for better temperature performance. The active regions exhibited broadband gain, with the strongest modes lasing in the 5.3–5.6 THz range, but with other various modes observed ranging from 4.76 to 6.03 THz. Pulsed and continuous-wave (cw) operation is observed up to temperatures of 117 K and 68 K, respectively. In cw mode, the ridge laser has modes up to 5.71 THz – the highest reported frequency for a THz QCL in cw mode. The waveguide loss associated with the doped contact layers and metallization is identified as a critical limitation to performance above 5 THz.
Research Organization:
Sandia National Lab. (SNL-NM), Albuquerque, NM (United States). Center for Integrated Nanotechnologies
Sponsoring Organization:
National Aeronautics and Space Administration (NASA); USDOE National Nuclear Security Administration (NNSA); USDOE Office of Science (SC), Basic Energy Sciences (BES)
Grant/Contract Number:
NA0003525
OSTI ID:
2349193
Report Number(s):
SAND--2024-05822J
Journal Information:
Nanophotonics (Online), Journal Name: Nanophotonics (Online) Journal Issue: 10 Vol. 13; ISSN 2192-8614
Publisher:
de GruyterCopyright Statement
Country of Publication:
United States
Language:
English

References (32)

Terahertz quantum-cascade lasers journal September 2007
Broadband continuous single-mode tuning of a short-cavity quantum-cascade VECSEL journal September 2019
ISO spectroscopy of compact HII regions in the Galaxy: I. The catalogue journal January 2002
Optimized energy separation for phonon scattering in three-level terahertz intersubband lasers journal December 2001
Terahertz quantum-cascade laser at λ≈100 μm using metal waveguide for mode confinement journal September 2003
Electromagnetic modeling of terahertz quantum cascade laser waveguides and resonators journal March 2005
Buried waveguides in terahertz quantum cascade lasers based on two-dimensional surface plasmon modes journal January 2005
Ultralow threshold current terahertz quantum cascade lasers based on double-metal buried strip waveguides journal August 2005
Terahertz conductivity of thin metal films journal August 2008
186 K operation of terahertz quantum-cascade lasers based on a diagonal design journal March 2009
Two-well terahertz quantum-cascade laser with direct intrawell-phonon depopulation journal October 2009
Spectroscopic determination of the doping and mobility of terahertz quantum cascade structures journal November 2009
Temperature performance analysis of terahertz quantum cascade lasers: Vertical versus diagonal designs journal May 2010
Frequency dependence of the maximum operating temperature for quantum-cascade lasers up to 5.4 THz journal November 2015
Room temperature negative differential resistance in terahertz quantum cascade laser structures journal August 2016
Tradeoffs between oscillator strength and lifetime in terahertz quantum cascade lasers journal November 2016
Two-well terahertz quantum cascade lasers with suppressed carrier leakage journal September 2017
Thin THz QCL active regions for improved continuous-wave operating temperature journal December 2021
Bound-to-continuum terahertz quantum cascade laser with a single-quantum-well phonon extraction/injection stage journal December 2009
Contrasting influence of charged impurities on transport and gain in terahertz quantum cascade lasers journal December 2015
Radiation Model for Terahertz Transmission-Line Metamaterial Quantum-Cascade Lasers journal May 2012
4.7-THz Local Oscillator for the GREAT Heterodyne Spectrometer on SOFIA journal July 2015
A Tunable Unidirectional Source for GUSTO’s Local Oscillator at 4.74 THz journal March 2022
Optical properties of fourteen metals in the infrared and far infrared: Al, Co, Cu, Au, Fe, Pb, Mo, Ni, Pd, Pt, Ag, Ti, V, and W journal January 1985
Optical properties of Al, Fe, Ti, Ta, W, and Mo at submillimeter wavelengths journal January 1988
Terahertz quantum cascade lasers with copper metal-metal waveguides operating up to 178 K journal January 2008
Broadband THz lasing from a photon-phonon quantum cascade structure journal January 2010
Terahertz quantum cascade lasers operating up to ∼ 200 K with optimized oscillator strength and improved injection tunneling journal January 2012
Focusing metasurface quantum-cascade laser with a near diffraction-limited beam journal January 2016
Operation of terahertz quantum-cascade lasers at 164 K in pulsed mode and at 117 K in continuous-wave mode journal January 2005
Continuous-wave single-mode quantum cascade laser at 5.1  THz based on graded sampled grating design journal November 2022
Sub-millimeter heterodyne focal-plane arrays for high-resolution astronomical spectroscopy journal September 2017

Figures / Tables (6)


Similar Records

High-temperature operation of broadband bidirectional terahertz quantum-cascade lasers
Journal Article · Sun Sep 11 20:00:00 EDT 2016 · Scientific Reports · OSTI ID:1338389

Frequency dependence of the maximum operating temperature for quantum-cascade lasers up to 5.4 THz
Journal Article · Sun Nov 15 23:00:00 EST 2015 · Applied Physics Letters · OSTI ID:22486089