Skip to main content
U.S. Department of Energy
Office of Scientific and Technical Information

A non-neutral generalized Ohm's law model for magnetohydrodynamics in the two-fluid regime

Journal Article · · Physics of Plasmas
DOI:https://doi.org/10.1063/5.0138673· OSTI ID:2311479

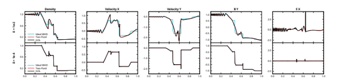
Here, a new non-neutral generalized Ohm's law (GOL) model for atomic plasmas is presented. This model differs from previous models of this type in that quasi-neutrality is not assumed at any point. Collisional effects due to ionization, recombination, and elastic scattering are included, and an expression for the associated plasma conductivity is derived. An initial set of numerical simulations are considered that compare the GOL model to a two-fluid model in the ideal (collisionless) case. The results demonstrate that solutions obtained from the two models are essentially indistinguishable in most cases when the ion–electron mass ratio is within the range of physical values for atomic plasmas. Additionally, some limitations of the model are discussed.

Research Organization:
Sandia National Laboratories (SNL-NM), Albuquerque, NM (United States)
Sponsoring Organization:
USDOE Office of Science (SC), Advanced Scientific Computing Research (ASCR). Scientific Discovery through Advanced Computing (SciDAC); USDOE Office of Science (SC), Fusion Energy Sciences (FES); USDOE National Nuclear Security Administration (NNSA)
Grant/Contract Number:
NA0003525
OSTI ID:
2311479
Report Number(s):
SAND--2023-03939J
Journal Information:
Physics of Plasmas, Journal Name: Physics of Plasmas Journal Issue: 5 Vol. 30; ISSN 1070-664X
Publisher:
American Institute of Physics (AIP)Copyright Statement
Country of Publication:
United States
Language:
English

References (41)

An indirect ALE discretization of single fluid plasma without a fast magnetosonic time step restriction journal July 2019
Scalable implicit incompressible resistive MHD with stabilized FE and fully-coupled Newton–Krylov-AMG journal June 2016
Fully-implicit finite volume method for the ideal two-fluid plasma model journal October 2018
A positivity-preserving semi-implicit discontinuous Galerkin scheme for solving extended magnetohydrodynamics equations journal December 2014
Divergence-free approximate Riemann solver for the quasi-neutral two-fluid plasma model journal October 2015
A particle-in-cell method for the simulation of plasmas based on an unconditionally stable field solver journal December 2016
A scalable, fully implicit algorithm for the reduced two-field low-β extended MHD model journal December 2016
IMEX and exact sequence discretization of the multi-fluid plasma model journal November 2019
A linearity preserving nodal variation limiting algorithm for continuous Galerkin discretization of ideal MHD equations journal June 2020
An implicit monolithic AFC stabilization method for the CG finite element discretization of the fully-ionized ideal multifluid electromagnetic plasma system journal September 2022
Geospace Environment Modeling magnetic reconnection challenge: Simulations with a full particle electromagnetic code journal March 2001
Geospace Environmental Modeling (GEM) Magnetic Reconnection Challenge journal March 2001
Mathematical structure of transport equations for multispecies flows journal January 1977
Three-dimensional modeling of the sawtooth instability in a small tokamak journal May 2007
Quantitative analytical model for magnetic reconnection in Hall magnetohydrodynamics journal May 2009
Relaxation model for extended magnetohydrodynamics: Comparison to magnetohydrodynamics for dense Z-pinches journal January 2011
Analytical and computational study of the ideal full two-fluid plasma model and asymptotic approximations for Hall-magnetohydrodynamics journal September 2011
Fast magnetic reconnection due to anisotropic electron pressure journal February 2015
Computational extended magneto-hydrodynamical study of shock structure generated by flows past an obstacle journal July 2015
The influence of Hall physics on power-flow along a coaxial transmission line journal October 2018
On the magnetohydrodynamic limits of the ideal two-fluid plasma equations journal December 2018
Approaching a burning plasma on the NIF journal May 2019
Nonlinear studies of m =1 modes in high‐temperature plasmas journal November 1992
Influence of profile shape on the diocotron instability in a non-neutral plasma column journal October 1998
Review of pulsed power-driven high energy density physics research on Z at Sandia journal July 2020
Axial magnetic flux amplification in Hall-magnetohydrodynamic simulations of externally magnetized z-pinches journal September 2020
3D simulations of vertical displacement events in tokamaks: A benchmark of M3D-C 1 , NIMROD, and JOREK journal May 2021
Chapter 3: MHD stability, operational limits and disruptions journal June 2007
Magnetic reconnection: from the Sweet–Parker model to stochastic plasmoid chains journal November 2015
Local properties of magnetic reconnection in nonlinear resistive- and extended-magnetohydrodynamic toroidal simulations of the sawtooth crash journal December 2016
3D two-temperature magnetohydrodynamic modeling of fast thermal quenches due to injected impurities in tokamaks journal November 2018
Quantitative, Comprehensive, Analytical Model for Magnetic Reconnection in Hall Magnetohydrodynamics journal September 2008
Model for Incomplete Reconnection in Sawtooth Crashes journal December 2011
Nodal-based finite-element modeling of Maxwell's equations journal June 1992
Continuous potential Maxwell solutions on nodal-based finite elements journal January 1992
Relativistic Modeling Capabilities in PERSEUS Extended-MHD Simulation Code for HED Plasmas journal July 2016
Pulsed Power as a Science: Predictive Simulations for Beams, Z-Pinches, and Other Applications journal April 2020
National Ignition Facility laser performance status journal January 2007
A Kinetic Vlasov Model for Plasma Simulation Using Discontinuous Galerkin Method on Many-Core Architectures report January 2016
Multi-Fluid Approach to High-Frequency Waves in Plasmas. i. Small-Amplitude Regime in Fully Ionized Medium journal November 2016
Multi-fluid Approach to High-frequency Waves in Plasmas. II. Small-amplitude Regime in Partially Ionized Media journal March 2017

Figures / Tables (8)


Similar Records

A Non-Neutral Generalized Ohm's Law Model for Magnetohydrodynamics in the Two-Fluid Regime
Conference · Sat Jul 01 00:00:00 EDT 2023 · OSTI ID:2430664

The generalized Ohm`s law in collisionless magnetic reconnection
Journal Article · Fri Feb 28 23:00:00 EST 1997 · Physics of Plasmas · OSTI ID:497642

On Ohm’s law in reduced plasma fluid models
Journal Article · Tue Oct 26 00:00:00 EDT 2021 · Plasma Physics and Controlled Fusion · OSTI ID:1840134