Skip to main content
U.S. Department of Energy
Office of Scientific and Technical Information

Elucidating the Mechanism for the Reaction of $$o$$-Phthalaldehyde with Primary Amines in the Presence of Thiols

Journal Article · · Journal of Physical Chemistry. B
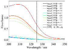
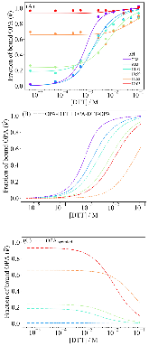
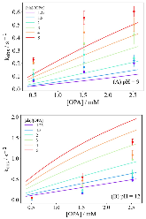
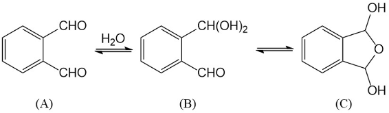
The use of o-phthalaldehyde (OPA) in combination with a thiol reagent is a common method for detecting primary amines in amino acids, peptides, and proteins. Despite its widespread use, the exact reaction mechanism has been debated since the 1980s. Here, we measure the kinetics of the reaction between OPA, alanine, and a dithiol (1,4-dithiolthreitol, DTT) as a function of pH and reagent concentration. Using these new measurements and accompanying kinetic models, we find evidence that the pH dependence of the kinetics arises from both the protonation states of alanine and DTT, the hydration state of OPA, and the unproductive equilibrium with DTT, all of which are pH-dependent. Importantly, these results support the mechanism originally proposed by Sternson [Rational design and evaluation of improved o-phthalaldehyde-like fluorogenic reagents. Anal. Biochem. 1985, 144, 233–246] and Wong [Reaction of o-phthalaldehyde with alanine and thiols: kinetics and mechanism. J. Am. Chem. Soc. 1985, 107, 6421–6422], in which the primary amine first reacts with OPA, followed by a reaction with the thiol to form the fluorescent isoindole product.
Research Organization:
Lawrence Berkeley National Laboratory (LBNL), Berkeley, CA (United States)
Sponsoring Organization:
USDOE Office of Science (SC), Basic Energy Sciences (BES). Chemical Sciences, Geosciences & Biosciences Division (CSGB)
Grant/Contract Number:
AC02-05CH11231
OSTI ID:
2293514
Journal Information:
Journal of Physical Chemistry. B, Journal Name: Journal of Physical Chemistry. B Journal Issue: 14 Vol. 127; ISSN 1520-6106
Publisher:
American Chemical SocietyCopyright Statement
Country of Publication:
United States
Language:
English

References (23)

Proton Transfer, Acid-Base Catalysis, and Enzymatic Hydrolysis. Part I: ELEMENTARY PROCESSES journal January 1964
What Do We Know about Determination of Amino Acids with Orthophthalaldehyde? journal February 2009
Derivatization trends in capillary electrophoresis: An update journal December 2002
Chromatographic analysis of amino acids and primary amines with o-phthalaldehyde detection journal July 1977
Rational design and evaluation of improved o-phthalaldehyde-like fluorogenic reagents journal January 1985
Studies on the formation and stability of isoindoles derived from amino acids, o-phthalaldehyde and N-acetyl-l-cysteine journal July 1989
Fluorescence stopped-flow study of the o-phthaldialdehyde reaction journal October 1980
Fluorescence reaction for amino acids journal June 1971
Exploring Chemistry in Microcompartments Using Guided Droplet Collisions in a Branched Quadrupole Trap Coupled to a Single Droplet, Paper Spray Mass Spectrometer journal October 2017
Reactions of Orthophthalaldehyde with Nucleophiles journal June 2004
Correction. Reaction of o-Phthalaldehyde with Alanine and Thiols: Kinetics and Mechanism journal March 1986
Reaction of o-phthalaldehyde with alanine and thiols: kinetics and mechanism journal October 1985
The structure of the fluorescent adduct formed in the reaction of o-phthalaldehyde and thiols with amines journal October 1976
Reaction of o-phthalaldehyde and thiols with primary amines: formation of 1-alkyl(and aryl)thio-2-alkylisoindoles journal July 1978
Existence and Reactivity of Three Forms of Orthophthalaldehyde in Aqueous Solutions. Polarographic, Voltammetric, and Spectrophotometric Study journal May 2007
A kinetic description of how interfaces accelerate reactions in micro-compartments journal January 2020
A critical analysis of electrospray techniques for the determination of accelerated rates and mechanisms of chemical reactions in droplets journal January 2020
Simple model for the electric field and spatial distribution of ions in a microdroplet journal May 2020
Microdroplets can act as electrochemical cells journal February 2022
O-phthalaldehyde: fluorogenic detection of primary amines in the picomole range. Comparison with fluorescamine and ninhydrin. journal February 1975
Enhanced Chemical Synthesis at Soft Interfaces: A Universal Reaction-Adsorption Mechanism in Microcompartments journal January 2014
Accelerated Reaction Kinetics in Microdroplets: Overview and Recent Developments journal April 2020
Electrochemical and Quantum Chemical Study of Reactivity of Orthophthalaldehyde with Aliphatic Primary Amines journal January 2016

Figures / Tables (9)


Similar Records

Fluorescence reagents for high-sensitivity chromatographic measurements of primary amines
Journal Article · Thu Sep 01 00:00:00 EDT 1988 · Anal. Chem.; (United States) · OSTI ID:7014036