Skip to main content
U.S. Department of Energy
Office of Scientific and Technical Information

Multipartite Entanglement in Rabi-Driven Superconducting Qubits

Journal Article · · PRX Quantum
 [1];  [1];  [2];  [2];  [1];  [1];  [3];  [4];  [4];  [1];  [1];  [3];  [3];  [5];  [6]
  1. Univ. of California, Berkeley, CA (United States)
  2. Univ. of Sherbrooke, QC (Canada)
  3. Lawrence Berkeley National Lab. (LBNL), Berkeley, CA (United States)
  4. Bleximo Corporation, Berkeley, CA (United States)
  5. Univ. of Sherbrooke, QC (Canada); Canadian Institute for Advanced Research (CIFAR), Toronto, ON (Canada)
  6. Univ. of California, Berkeley, CA (United States); Lawrence Berkeley National Lab. (LBNL), Berkeley, CA (United States)

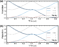
The exploration of highly connected networks of qubits is invaluable for implementing various quantum algorithms and simulations, as it allows for entangling qubits with reduced circuit depth. Here, we demonstrate a multiqubit sideband tone-assisted Rabi-driven gate. Our scheme is inspired by the ion-qubit Mølmer-Sørensen gate and is mediated by a shared photonic mode and Rabi-driven superconducting qubits, which relaxes restrictions on qubit frequencies during fabrication and supports scalability. We achieve a two-qubit gate with a maximum state fidelity of 95% in 310 ns, a three-qubit gate with a state fidelity of 90.5% in 217 ns, and a four-qubit gate with a state fidelity of 66% in 200 ns. Furthermore, we develop a model of the gate that shows that the four-qubit gate is limited by shared resonator losses and the spread of qubit-resonator couplings, which must be addressed to reach high-fidelity operations.

Research Organization:
Lawrence Berkeley National Laboratory (LBNL), Berkeley, CA (United States)
Sponsoring Organization:
USDOE Office of Science (SC); US Army Research Office (ARO)
Grant/Contract Number:
AC02-05CH11231
OSTI ID:
1963834
Journal Information:
PRX Quantum, Journal Name: PRX Quantum Journal Issue: 4 Vol. 3; ISSN 2691-3399
Publisher:
American Physical Society (APS)Copyright Statement
Country of Publication:
United States
Language:
English

References (35)

Rotating-frame relaxation as a noise spectrum analyser of a superconducting qubit undergoing driven evolution journal August 2013
Multi-level quantum noise spectroscopy journal February 2021
New material platform for superconducting transmon qubits with coherence times exceeding 0.3 milliseconds journal March 2021
Leakage reduction in fast superconducting qubit gates via optimal control journal January 2021
Entanglement in a 20-Qubit Superconducting Quantum Computer journal September 2019
Quantum chemistry and charge transport in biomolecules with superconducting circuits journal June 2016
Learning robust pulses for generating universal quantum gates journal October 2016
A quantum engineer's guide to superconducting qubits journal June 2019
Superconducting qubits in a flip-chip architecture journal June 2021
Prescription for experimental determination of the dynamics of a quantum black box journal November 1997
Use of global interactions in efficient quantum circuit constructions journal March 2018
Two-Qubit Spectroscopy of Spatiotemporally Correlated Quantum Noise in Superconducting Qubits journal September 2020
Verifying multipartite entangled Greenberger-Horne-Zeilinger states via multiple quantum coherences journal March 2020
Dynamical suppression of decoherence in two-state quantum systems journal October 1998
Entanglement and quantum computation with ions in thermal motion journal July 2000
Cavity quantum electrodynamics for superconducting electrical circuits: An architecture for quantum computation journal June 2004
Implementation of Grover’s quantum search algorithm in a scalable system journal November 2005
Qubit-photon interactions in a cavity: Measurement-induced dephasing and number splitting journal October 2006
Steady-state entanglement of spatially separated qubits via quantum bath engineering journal December 2014
Black-Box Superconducting Circuit Quantization journal June 2012
Universal Quantum Gate Set Approaching Fault-Tolerant Thresholds with Superconducting Qubits journal August 2012
Cavity-Assisted Quantum Bath Engineering journal October 2012
Stabilizing Entanglement via Symmetry-Selective Bath Engineering in Superconducting Qubits journal June 2016
Continuous Quantum Nondemolition Measurement of the Transverse Component of a Qubit journal September 2016
10-Qubit Entanglement and Parallel Logic Operations with a Superconducting Circuit journal November 2017
Stroboscopic Qubit Measurement with Squeezed Illumination journal January 2018
Distinguishing Coherent and Thermal Photon Noise in a Circuit Quantum Electrodynamical System journal June 2018
Genuine 12-Qubit Entanglement on a Superconducting Quantum Processor journal March 2019
Complete Characterization of a Quantum Process: The Two-Bit Quantum Gate journal January 1997
Quantum Mechanics Helps in Searching for a Needle in a Haystack journal July 1997
Multiparticle Entanglement of Hot Trapped Ions journal March 1999
Quantum Computation with Ions in Thermal Motion journal March 1999
Bell nonlocality journal April 2014
Superconducting Qubits: Current State of Play journal March 2020
Quantum Computing in the NISQ era and beyond journal August 2018

Figures / Tables (16)