Skip to main content
U.S. Department of Energy
Office of Scientific and Technical Information

Large-eddy simulation and Reynolds-averaged Navier-Stokes modeling of three Rayleigh-Taylor mixing configurations with gravity reversal

Journal Article · · Physical Review. E
 [1]
  1. Lawrence Livermore National Lab. (LLNL), Livermore, CA (United States)

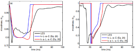
In this work, high-fidelity large-eddy simulation (LES) is performed of Rayleigh-Taylor (RT) mixing in three different configurations involving gravity reversal. In each configuration, LES results are compared with one-dimensional Reynolds-averaged Navier-Stokes (RANS) results, and a deficiency in a commonly used transport equation for the mass-flux velocity, $$a_j$$, is identified. In the first configuration, a classical two-component RT mixing layer is allowed to develop before it is subjected to rapid acceleration reversal. In the second configuration, a three-component RT mixing layer with an intermediate density layer is allowed to develop before being subjected to rapid acceleration reversal. Finally, in the third configuration, a light layer is interposed between two heavy layers; in this configuration, only one interface is RT-unstable at a time as it undergoes rapid acceleration reversal. In all cases, a commonly used buoyancy production closure in the $$a_j$$ transport equation is shown to lead to significant over-prediction of mixing layer growth after gravity reversal. An alternative formulation for this closure is then presented which is shown to more accurately capture the stabilization effect of gravity reversal.

Research Organization:
Lawrence Livermore National Laboratory (LLNL), Livermore, CA (United States)
Sponsoring Organization:
USDOE National Nuclear Security Administration (NNSA)
Grant/Contract Number:
AC52-07NA27344
OSTI ID:
1879272
Report Number(s):
LLNL-JRNL-835181; 1053217
Journal Information:
Physical Review. E, Journal Name: Physical Review. E Journal Issue: 2 Vol. 106; ISSN 2470-0045
Publisher:
American Physical Society (APS)Copyright Statement
Country of Publication:
United States
Language:
English

References (54)

Large-eddy and unsteady RANS simulations of a shock-accelerated heavy gas cylinder journal April 2015
A Two-length Scale Turbulence Model for Single-phase Multi-fluid Mixing journal September 2015
Adaptive mesh refinement for hyperbolic partial differential equations journal March 1984
Local adaptive mesh refinement for shock hydrodynamics journal May 1989
A study of ALE simulations of Rayleigh–Taylor instability journal March 2001
Two-equation and multi-fluid turbulence models for Rayleigh–Taylor mixing journal December 2015
A tensor artificial viscosity using a finite element approach journal December 2009
Parametric investigation of the transition to turbulence in Rayleigh–Taylor mixing journal January 2020
Rayleigh–Taylor instability with gravity reversal journal March 2021
Rayleigh–Taylor and Richtmyer–Meshkov instability induced flow, turbulence, and mixing. I journal December 2017
Rayleigh–Taylor and Richtmyer–Meshkov instability induced flow, turbulence, and mixing. II journal December 2017
The mixing transition in RayleighTaylor instability journal January 1999
On the Richtmyer–Meshkov instability evolving from a deterministic multimode planar interface journal August 2014
Simulation and flow physics of a shocked and reshocked high-energy-density mixing layer journal March 2021
Reynolds number effects on Rayleigh–Taylor instability with possible implications for type Ia supernovae journal July 2006
K-L turbulence model for the self-similar growth of the Rayleigh-Taylor and Richtmyer-Meshkov instabilities journal August 2006
Artificial fluid properties for large-eddy simulation of compressible turbulent mixing journal May 2007
Rayleigh–Taylor shock waves journal December 2007
Enthalpy diffusion in multicomponent flows journal May 2009
Nonlinear effects in the combined Rayleigh-Taylor/Kelvin-Helmholtz instability journal November 2011
Three-dimensional modeling and analysis of a high energy density Kelvin-Helmholtz experiment journal September 2012
The Rayleigh-Taylor Instability driven by an accel-decel-accel profile journal November 2013
Large eddy simulation requirements for the Richtmyer-Meshkov instability journal April 2014
Hydrodynamic instability growth and mix experiments at the National Ignition Facility journal May 2014
Development of the CD Symcap platform to study gas-shell mix in implosions at the National Ignition Facility journal September 2014
Comparison of two- and three-dimensional simulations of miscible Richtmyer-Meshkov instability with multimode initial conditions journal October 2014
Simulations of indirectly driven gas-filled capsules at the National Ignition Facility journal November 2014
Direct-drive inertial confinement fusion: A review journal November 2015
Symmetry tuning of a near one-dimensional 2-shock platform for code validation at the National Ignition Facility journal April 2016
Development of an inertial confinement fusion platform to study charged-particle-producing nuclear reactions relevant to nuclear astrophysics journal April 2017
Optimization of a high-yield, low-areal-density fusion product source at the National Ignition Facility with applications in nucleosynthesis experiments journal May 2018
A k ‐ε model for turbulent mixing in shock‐tube flows induced by Rayleigh–Taylor instability journal September 1990
The magnetized Rayleigh-Taylor instability with a temporally variable gravity journal July 1997
Unified prediction of reshocked Richtmyer–Meshkov mixing with K-L model journal March 2020
Two-equation and multi-fluid turbulence models for Richtmyer–Meshkov mixing journal July 2020
Modeling of turbulent mixing with an improved K–L model journal September 2020
Application of a second-moment closure model to mixing processes involving multicomponent miscible fluids journal January 2011
Self-similarity of a Rayleigh–Taylor mixing layer at low Atwood number with a multimode initial perturbation journal June 2017
A multispecies turbulence model for the mixing and de-mixing of miscible fluids journal October 2021
Scalar mixing in a Kelvin-Helmholtz shear layer and implications for Reynolds-averaged Navier-Stokes modeling of mixing layers journal May 2021
Self-consistent, high-order spatial profiles in a model for two-fluid turbulent mixing journal July 2021
Simulation and Reynolds-averaged Navier-Stokes modeling of a three-component Rayleigh-Taylor mixing problem with thermonuclear burn journal April 2022
Rayleigh-Taylor instability with complex acceleration history journal October 2007
Development and validation of a turbulent-mix model for variable-density and compressible flows journal October 2010
Three-equation model for the self-similar growth of Rayleigh-Taylor and Richtmyer-Meskov instabilities journal April 2015
Evolution of the single-mode Rayleigh-Taylor instability under the influence of time-dependent accelerations journal January 2016
Numerical investigation of initial condition effects on Rayleigh-Taylor instability with acceleration reversals journal November 2016
Two-length-scale turbulence model for self-similar buoyancy-, shock-, and shear-driven mixing journal January 2018
Large-eddy simulation and Reynolds-averaged Navier-Stokes modeling of a reacting Rayleigh-Taylor mixing layer in a spherical geometry journal September 2018
Modeling of Rayleigh-Taylor mixing using single-fluid models journal January 2019
Direct numerical simulation and Reynolds-averaged Navier-Stokes modeling of the sudden viscous dissipation for multicomponent turbulence journal June 2019
Measurements of an Ablator-Gas Atomic Mix in Indirectly Driven Implosions at the National Ignition Facility journal January 2014
The Tilted Rocket Rig: A Rayleigh–Taylor Test Case for RANS Models1 journal July 2014
Rayleigh–Taylor Instability With Varying Periods of Zero Acceleration journal October 2020

Figures / Tables (17)