Skip to main content
U.S. Department of Energy
Office of Scientific and Technical Information

Effects of collisional ion orbit loss on neoclassical tokamak radial electric fields

Journal Article · · Nuclear Fusion

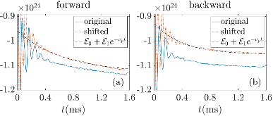
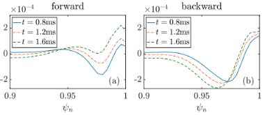
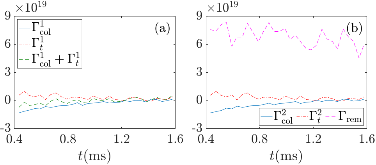
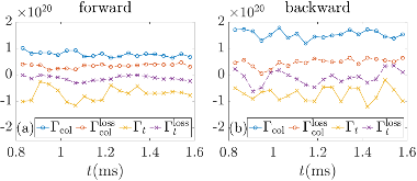
We report that ion orbit loss is considered important for generating the radially inward electric field Er in a tokamak edge plasma. In particular, this effect is emphasized in diverted tokamaks with a magnetic X point. In neoclassical equilibria, Coulomb collisions can scatter ions onto loss orbits and generate a radially outward current, which in steady state is balanced by the radially inward current from viscosity. To quantitatively measure this loss-orbit current in an edge pedestal, an ion-orbit-flux diagnostic has been implemented in the axisymmetric version of the gyrokinetic particle-in-cell code XGC. As the first application of this diagnostic, a neoclassical DIII-D H-mode plasma is studied using gyrokinetic ions and adiabatic electrons. The validity of the diagnostic is demonstrated by studying the collisional relaxation of Er in the core. After this demonstration, the loss-orbit current is numerically measured in the edge pedestal in quasisteady state. In this plasma, it is found that the radial electric force on ions from Er approximately balances the ion radial pressure gradient in the edge pedestal, with the radial force from the plasma flow term being a minor component. The effect of orbit loss on Er is found to be only mild.

Research Organization:
Princeton Plasma Physics Laboratory (PPPL), Princeton, NJ (United States)
Sponsoring Organization:
USDOE Office of Science (SC); SciDAC-4
Grant/Contract Number:
AC02-09CH11466; AC02-05CH11231
OSTI ID:
1856202
Journal Information:
Nuclear Fusion, Journal Name: Nuclear Fusion Journal Issue: 6 Vol. 62; ISSN 0029-5515
Publisher:
IOP ScienceCopyright Statement
Country of Publication:
United States
Language:
English

References (49)

Effects of collisional ion orbit loss on neoclassical tokamak radial electric fields dataset January 2022
Mesh generation for confined fusion plasma simulation journal September 2015
A new hybrid-Lagrangian numerical scheme for gyrokinetic simulation of tokamak edge plasma journal June 2016
A fully non-linear multi-species Fokker–Planck–Landau collision operator for simulation of fusion plasma journal June 2016
Direction of ion ∇B drift and power threshold in high confinement mode in diverted tokamaks journal January 2002
X-transport: A baseline nonambipolar transport in a diverted tokamak plasma edge journal September 2002
Some Toroidal Equilibria for Plasma under Magnetoelectric Confinement journal January 1971
Transport properties of a toroidal plasma at low-to-intermediate collision frequencies journal January 1973
Rotation of a toroidally confined, collisional plasma journal January 1974
Numerical study of neoclassical plasma pedestal in a tokamak geometry journal May 2004
Property of an X-point generated velocity-space hole in a diverted tokamak plasma edge journal December 2004
Spontaneous rotation sources in a quiescent tokamak edge plasma journal June 2008
Energetic consistency and momentum conservation in the gyrokinetic description of tokamak plasmas journal November 2010
Intrinsic rotation generation in ELM-free H-mode plasmas in the DIII-D tokamak—Experimental observations journal July 2011
The effect of ion orbit loss and X-loss on the interpretation of ion energy and particle transport in the DIII-D edge plasma journal October 2011
A Fokker-Planck-Landau collision equation solver on two-dimensional velocity grid and its application to particle-in-cell simulation journal March 2014
Kinetic neoclassical transport in the H-mode pedestal journal July 2014
Intrinsic momentum generation by a combined neoclassical and turbulence mechanism in diverted DIII-D plasma edge journal September 2014
Thermal ion orbit loss and radial electric field in DIII-D journal August 2015
Experimental evidence of edge intrinsic momentum source driven by kinetic ion loss and edge radial electric fields in tokamaks journal September 2016
A fast low-to-high confinement mode bifurcation dynamics in the boundary-plasma gyrokinetic code XGC1 journal May 2018
A geometric model of ion orbit loss under the influence of a radial electric field journal April 2019
Relaxation rate of poloidal rotation in the banana regime in tokamaks journal March 1989
An estimate of the ion orbit loss rate in tokamaks journal October 1992
Ion orbit loss and poloidal plasma rotation in tokamaks journal January 1992
Neoclassical rotation of tokamak plasmas in the plateau regime journal October 1995
Plateau regime dynamics of the relaxation of poloidal rotation in tokamak plasmas journal August 1996
The neoclassical theory of poloidal flow damping in a tokamak journal December 1996
Constructing a new predictive scaling formula for ITER's divertor heat-load width informed by a simulation-anchored machine learning journal February 2021
The ambipolarity paradox in toroidal diffusion, revisited journal July 1978
Neoclassical transport of impurities in tokamak plasmas journal September 1981
Loss ion orbits at the tokamak edge journal October 1993
Direct ion orbit loss near the plasma edge of a divertor tokamak in the presence of a radial electric field journal July 1996
Intrinsic toroidal velocity near the edge of DIII-D H-mode plasmas journal July 2009
L- to H-mode transitions at low density in ASDEX Upgrade journal December 2011
High-accuracy characterization of the edge radial electric field at ASDEX Upgrade journal April 2013
Evidence for the neoclassical nature of the radial electric field in the edge transport barrier of ASDEX Upgrade journal December 2013
Co-current rotation of the bulk ions due to the ion orbit loss at the edge of a tokamak plasma journal September 2014
Relaxation rate of poloidal rotation in the banana regime journal July 1991
A review of theories of the L-H transition journal December 1999
Orbit-modulated transport and sources in time-dependent plasmas journal September 2021
Momentum flux parasitic to free-energy transfer journal July 2017
Orbit-modulated plasma transport and sources journal December 2019
The physics of the mean and oscillating radial electric field in the L–H transition: the driving nature and turbulent transport suppression mechanism journal July 2020
Experimental Investigation of the Role of Fluid Turbulent Stresses and Edge Plasma Flows for Intrinsic Rotation Generation in DIII-D H -Mode Plasmas journal March 2011
Transport-Driven Toroidal Rotation in the Tokamak Edge journal February 2012
Fast Low-to-High Confinement Mode Bifurcation Dynamics in a Tokamak Edge Plasma Gyrokinetic Simulation journal April 2017
Model of L to H -Mode Transition in Tokamak journal May 1988
Bifurcation theory of poloidal rotation in tokamaks: A model for L-H transition journal November 1989

Cited By (1)

Effects of collisional ion orbit loss on neoclassical tokamak radial electric fields dataset January 2022

Figures / Tables (8)