Skip to main content
U.S. Department of Energy
Office of Scientific and Technical Information

A Graphical Design Approach for Two-Input Single-Output Systems Exploiting Plant/Controller Alignment: Design and Application

Journal Article · · Journal of Dynamic Systems, Measurement, and Control
DOI:https://doi.org/10.1115/1.4044717· OSTI ID:1570278
 [1];  [2]
  1. Sandia National Lab. (SNL-NM), Albuquerque, NM (United States)
  2. Univ. of Illinois at Urbana-Champaign, Urbana, IL (United States)

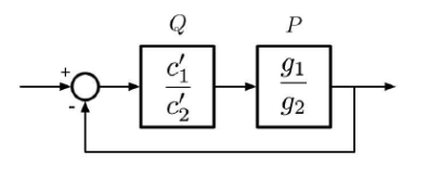
Due to the unique structure of two-input single-output (TISO) feedback systems, several closed-loop properties can be characterized using the concepts of plant and controller “directions” and “alignment.” Poor plant/controller alignment indicates significant limitations in terms of closed-loop performance. In general, it is desirable to design a controller that is well aligned with the plant in order to minimize the size of the closed-loop sensitivity functions and closed-loop interactions. Although the concept of alignment can be a useful analysis tool for a given plant/controller pair, it is not obvious how a controller should be designed to achieve good alignment. We present a new controller design approach, based on the PQ method (Schroeck et al., 2001, “On Compensator Design for Linear Time invariant Dual-Input Single-Output Systems,” IEEE/ASME Trans. Mechatronics, 6(1), pp. 50–57), which explicitly incorporates knowledge of alignment into the design process. Here, this is accomplished by providing graphical information about the alignment angle on the Bode plot of the PQ frequency response. We show the utility of this approach through a design example.

Research Organization:
Sandia National Laboratories (SNL-NM), Albuquerque, NM (United States)
Sponsoring Organization:
Sandia University Programs; USDOE
Grant/Contract Number:
AC04-94AL85000
OSTI ID:
1570278
Report Number(s):
SAND--2019-10667J; 679243
Journal Information:
Journal of Dynamic Systems, Measurement, and Control, Journal Name: Journal of Dynamic Systems, Measurement, and Control Journal Issue: 1 Vol. 142; ISSN 0022-0434
Publisher:
ASMECopyright Statement
Country of Publication:
United States
Language:
English

References (8)

An integral constraint for single input two output feedback systems journal November 2001
Properties of single input, two output feedback systems journal January 1999
Some advances in loop shaping controller design with applications to disk drives journal March 2001
On compensator design for linear time-invariant dual-input single-output systems journal March 2001
Squaring down by static and dynamic compensators journal April 1988
Some properties of minimum phase systems and "Squared-down" systems journal February 1983
Modified Bode Plots for Robust Performance in SISO Systems With Structured and Unstructured Uncertainties journal March 2012
Dynamic Modeling and Control of a Piezo-Electric Dual-Stage Tape Servo Actuator journal July 2009

Figures / Tables (19)


Similar Records

Controller design for nonlinear systems based on simultaneous stabilization theory and describing function models
Thesis/Dissertation · Tue Dec 31 23:00:00 EST 1985 · OSTI ID:6457980

Multiple input-output feedback synthesis incorporating cross-coupling
Thesis/Dissertation · Thu Dec 31 23:00:00 EST 1970 · OSTI ID:4008757

Robust control of a family of uncertain nonminimum‐phase systems via continuous‐time and sampled‐data output feedback
Journal Article · Tue Oct 24 20:00:00 EDT 2017 · International Journal of Robust and Nonlinear Control · OSTI ID:1404735