Skip to main content
U.S. Department of Energy
Office of Scientific and Technical Information

Theory of Surface Forces in Multivalent Electrolytes

Journal Article · · Langmuir
 [1];  [2];  [2];  [3]
  1. Massachusetts Inst. of Technology (MIT), Cambridge, MA (United States). Chemical Engineering; Massachusetts Institute of Technology
  2. Massachusetts Inst. of Technology (MIT), Cambridge, MA (United States). Chemical Engineering
  3. Massachusetts Inst. of Technology (MIT), Cambridge, MA (United States). Chemical Engineering and Dept. of Mathematics

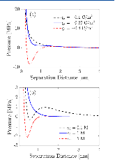
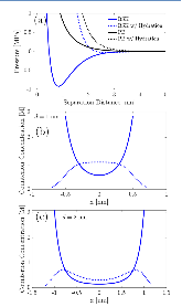
Aqueous electrolyte solutions containing multivalent ions exhibit various intriguing properties, including attraction between like-charged colloidal particles, which results from strong ion–ion correlations. In contrast, the classical Derjaguin–Landau–Verwey–Overbeek theory of colloidal stability, based on the Poisson–Boltzmann mean-field theory, always predicts a repulsive electrostatic contribution to the disjoining pressure. Here, we formulate a general theory of surface forces, which predicts that the contribution to the disjoining pressure resulting from ion–ion correlations is always attractive and can readily dominate over entropic-induced repulsions for solutions containing multivalent ions, leading to the phenomenon of like-charge attraction. Ion-specific short-range hydration interactions, as well as surface charge regulation, are shown to play an important role at smaller separation distances but do not fundamentally change these trends. The theory is able to predict the experimentally observed strong cohesive forces reported in cement pastes, which result from strong ion–ion correlations involving the divalent calcium ion.

Research Organization:
Energy Frontier Research Centers (EFRC) (United States). The Center for Enhanced Nanofluidic Transport (CENT); Massachusetts Inst. of Technology (MIT), Cambridge, MA (United States)
Sponsoring Organization:
USDOE Office of Science (SC), Basic Energy Sciences (BES) (SC-22)
Grant/Contract Number:
SC0019112
OSTI ID:
1559966
Journal Information:
Langmuir, Journal Name: Langmuir Journal Issue: 35 Vol. 35; ISSN 0743-7463
Publisher:
American Chemical SocietyCopyright Statement
Country of Publication:
United States
Language:
English

References (80)

Condensation of DNA by multivalent cations: Considerations on mechanism journal November 1991
Modeling electrokinetics in ionic liquids: General journal April 2017
Interactions of Silica Surfaces journal July 1994
Calculations of Electric Double-Layer Force and Interaction Free Energy between Dissimilar Surfaces journal January 1995
Comparisons of Hamaker Constants for Ceramic Systems with Intervening Vacuum or Water: From Force Laws and Physical Properties journal May 1996
A simple algorithm for the calculation of the electrostatic repulsion between identical charged surfaces in electrolyte journal September 1980
Hydration forces between mica surfaces in aqueous electrolyte solutions journal March 1981
Attractive double-layer interactions between calcium clay particles journal November 1988
Direct measurement of forces between silica surfaces in aqueous CaCl2 solutions using an atomic force microscope journal August 1992
Contribution of ionic correlations to excess free energy and disjoining pressure of thin liquid films 1. Electric double layer inside the film journal July 1992
The structure and stoichiometry of C-S-H journal September 2004
Towards an understanding of induced-charge electrokinetics at large applied voltages in concentrated solutions journal November 2009
Measurement and modification of forces between lecithin bilayers journal May 1977
Precipitation of DNA by Polyamines: A Polyelectrolyte Behavior journal January 1998
A continuum approach to predicting electrophoretic mobility reversals journal July 2014
Continuum Theory of Electrostatic Correlations at Charged Surfaces journal May 2020
Current Rectification for Transport of Room-Temperature Ionic Liquids through Conical Nanopores journal February 2016
Theory of the Double Layer in Water-in-Salt Electrolytes journal September 2018
Charge Regulation in the Electrical Double Layer: Ion Adsorption and Surface Interactions journal December 2015
Double Layer Forces between Heterogeneous Charged Surfaces journal September 1994
Ultrathin platinum films on mica and the measurement of forces at the platinum/water interface journal January 1988
Direct measurements of surface forces between bilayers of double-chained quaternary ammonium acetate and bromide surfactants journal April 1986
Direct force measurements between titanium dioxide surfaces journal December 1993
A Study of Double Layer Repulsion and van der Waals Attraction in Soap Films journal June 1965
Correlated Ions in a Calcium Channel Model: A Poisson–Fermi Theory journal September 2013
Measurement of forces in liquids using a force microscope journal July 1992
Nanoscale Experimental Investigation of Particle Interactions at the Origin of the Cohesion of Cement journal July 2005
Controlling the Cohesion of Cement Paste journal September 2005
Electric Double Layer at the Interface of Ionic Liquid–Dielectric Liquid under Electric Field journal January 2013
From Repulsion to Attraction and Back to Repulsion: The Effect of NaCl, KCl, and CsCl on the Force between Silica Surfaces in Aqueous Solution journal March 2009
Molecular layering of water at surfaces and origin of repulsive hydration forces journal November 1983
Atomically resolved three-dimensional structures of electrolyte aqueous solutions near a solid surface journal July 2016
Interactions between charged particles with bathing multivalent counterions: experiments vs. dressed ion theory journal January 2017
Steering patchy particles using multivalent electrolytes journal January 2017
Interactions between silica particles in the presence of multivalent coions journal January 2017
The interaction of two spherical colloidal particles in electrolyte solution. An application of the hypernetted‐chain approximation journal May 1980
Electrical double layer forces. A Monte Carlo study journal March 1984
A theoretical and experimental study of forces between charged mica surfaces in aqueous CaCl 2 solutions journal April 1990
Double layer interactions in mono‐ and divalent electrolytes: A comparison of the anisotropic HNC theory and Monte Carlo simulations journal July 1992
Charge reversal seen in electrical double layer interaction of surfaces immersed in 2:1 calcium electrolyte journal October 1993
Precipitation of highly charged polyelectrolyte solutions in the presence of multivalent salts journal October 1995
Electric double layer force between charged surfaces: Effect of solvent polarization journal March 2013
Analytical models of calcium binding in a calcium channel journal August 2014
Dynamics of electrical double layer formation in room-temperature ionic liquids under constant-current charging conditions journal June 2014
Charge inversion by multivalent ions: Dependence on dielectric constant and surface-charge density journal December 2005
Poisson-Helmholtz-Boltzmann model of the electric double layer: Analysis of monovalent ionic mixtures journal March 2012
Effects of electrostatic correlations on electrokinetic phenomena journal November 2012
Numerical methods for a Poisson-Nernst-Planck-Fermi model of biological ion channels journal July 2015
Double Layer in Ionic Liquids: Overscreening versus Crowding journal January 2011
Dynamics of Ion Transport in Ionic Liquids journal September 2015
Short Range Attraction between Two Similarly Charged Silica Surfaces journal May 2006
Structure and interactions of biological helices journal August 2007
Simulations of counterions at charged plates journal May 2002
Charge regulation: A generalized boundary condition? journal January 2016
Direct measurement of surface forces between sapphire crystals in aqueous solutions journal June 1988
Emergence of a Stern Layer from the Incorporation of Hydration Interactions into the Gouy-Chapman Model of the Electrical Double Layer text January 2015
Dressed Counterions: Strong Electrostatic Coupling in the Presence of Salt text January 2009
Bjerrum Pairs in Ionic Solutions: a Poisson-Boltzmann Approach text January 2017
The Charge of Glass and Silica Surfaces text January 2001
Direct observation of charge inversion by multivalent ions as a universal electrostatic phenomenon text January 2004
Collapse of Flexible Polyelectrolytes in Multivalent Salt Solutions text January 1999
“Theory of the stability of lyophobic colloids. The interaction of particles having an electric double layer.” E. J. W. Verwey and J. T. G. Overbeek, with the collaboration of K. van Ness. Elsevier, New York-Amsterdam, 1948, 216 pp., $4.50 journal June 1949
Ionic radii in aqueous solutions journal April 1983
Surface forces and viscosity of water measured between silica sheets journal October 1989
DLVO and hydration forces between mica surfaces in Li+, Na+, K+, and Cs+ electrolyte solutions: A correlation of double-layer and hydration forces with surface cation exchange properties journal October 1981
Effect of electrostatic correlations on micelle formation journal November 2017
Screening of a macroion by multivalent ions: a new boundary condition for the Poisson–Boltzmann equation and charge inversion journal December 1999
Emergence of a Stern Layer from the Incorporation of Hydration Interactions into the Gouy–Chapman Model of the Electrical Double Layer journal July 2015
Double-layer ion correlation forces restrict calcium-clay swelling journal November 1988
Direct measurement of colloidal forces using an atomic force microscope journal September 1991
A classical density functional theory for interfacial layering of ionic liquids journal January 2011
Investigations of the forces of interaction of surfaces in different media and their application to the problem of colloid stability journal January 1954
The charge of glass and silica surfaces journal October 2001
Dressed counterions: Strong electrostatic coupling in the presence of salt journal March 2010
Collapse of flexible polyelectrolytes in multivalent salt solutions journal January 2000
Poisson-Nernst-Planck-Fermi theory for modeling biological ion channels journal December 2014
Bjerrum pairs in ionic solutions: A Poisson-Boltzmann approach journal May 2017
Strong attractions and repulsions mediated by monovalent salts journal October 2017
Direct Measurement of Sub-Debye-Length Attraction between Oppositely Charged Surfaces journal September 2009
Direct Observation of Charge Inversion by Multivalent Ions as a Universal Electrostatic Phenomenon journal October 2004

Figures / Tables (7)


Similar Records

Monte-Carlo simulation for the potential of mean force betweenionic collids in solutions of asymmetric salts
Journal Article · Sun Aug 01 00:00:00 EDT 1999 · Journal of Chemical Physics · OSTI ID:893740

Monte Carlo simulation for the potential of mean force between ionic colloids in solutions of asymmetric salts
Journal Article · Fri Oct 01 00:00:00 EDT 1999 · Journal of Chemical Physics · OSTI ID:686522

Microscopic measurement of the pair interaction potential of charge-stabilized colloid
Journal Article · Mon Jul 11 00:00:00 EDT 1994 · Physical Review Letters; (United States) · OSTI ID:7070613