An improved consistent, conservative, non-oscillatory and high order finite difference scheme for variable density low Mach number turbulent flow simulation
- The Ohio State Univ., Columbus, OH (United States); The Ohio State University
- The Ohio State Univ., Columbus, OH (United States)
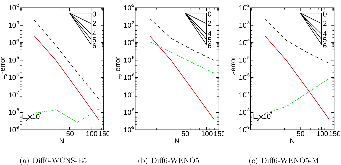
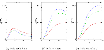
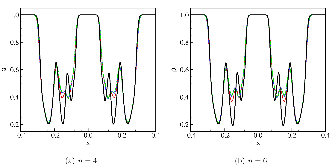
A consistent, conservative and truly high order finite difference scheme for low Mach number turbulent variable density flow simulation is presented. In the present scheme, the scalar transport equation is discretized with the explicit weighted compact nonlinear scheme (WCNS) while the continuity and momentum equations are discretized with a conservative centered high order finite difference scheme on a staggered grid. Bounded hybrid high order upwind interpolation is proposed for the evaluation of density on the cell faces of the staggered grid. The use of explicit WCNS along with the bounded density interpolation resolves the issue of degraded order of accuracy in the existing high order finite difference schemes where the centered finite difference scheme for mass and momentum conservation is combined with a total variation stable scheme for scalar transport. With the same difference operator used for the continuity and scalar transport equations, the present scheme is consistent naturally, and resolves the inconsistency problem reported in Trisjono et al. (J. Comp. Phys., 327, 612-628, 2016) without employing any modification to a scheme. Such improvements are demonstrated for several test cases.
- Research Organization:
- The Ohio State Univ., Columbus, OH (United States)
- Sponsoring Organization:
- USDOE Office of Energy Efficiency and Renewable Energy (EERE), Vehicle Technologies Office (EE-3V)
- Grant/Contract Number:
- EE0007334
- OSTI ID:
- 1513501
- Journal Information:
- Journal of Computational Physics, Journal Name: Journal of Computational Physics Journal Issue: C Vol. 372; ISSN 0021-9991
- Publisher:
- ElsevierCopyright Statement
- Country of Publication:
- United States
- Language:
- English
Similar Records
A mass and momentum conserving unsplit semi-Lagrangian framework for simulating multiphase flows
 
                                                 
                                                 
                                                 
                                                 
                                                 
                                                 
                                                 
                                                 
                                                 
                                                 
                                                 
                                                 
                                                