Skip to main content
U.S. Department of Energy
Office of Scientific and Technical Information

Scaling between magnetic field and temperature in the high-temperature superconductor BaFe2(As1₋xPx)2

Journal Article · · Nature Physics
DOI:https://doi.org/10.1038/nphys3773· OSTI ID:1512736
 [1];  [2];  [1];  [3];  [3];  [4];  [4];  [1]
  1. Univ. of California, Berkeley, CA (United States); Lawrence Berkeley National Lab. (LBNL), Berkeley, CA (United States)
  2. Los Alamos National Lab. (LANL), Los Alamos, NM (United States)
  3. Univ. of California, Berkeley, CA (United States)
  4. Florida State Univ., Tallahassee, FL (United States)
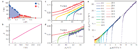
Many exotic metallic systems have a resistivity that varies linearly with temperature, and the physics behind this is thought to be connected to high-temperature superconductivity in the cuprates and iron pnictides1,2,3,4,5,6,7,8,9. Although this phenomenon has attracted considerable attention, it is unclear how the relevant physics manifests in other transport properties, for example their response to an applied magnetic field. We report measurements of the high-field magnetoresistance of the iron pnictide superconductor BaFe2(As1₋xPx)2 and find that it obeys an unusual scaling relationship between applied magnetic field and temperature, with a conversion factor given simply by the ratio of the Bohr magneton and the Boltzmann constant. This implies that magnetic fields probe the same physics that gives rise to the T-linear resistivity, providing a new experimental clue to this long-standing puzzle.
Research Organization:
Los Alamos National Lab. (LANL), Los Alamos, NM (United States)
Sponsoring Organization:
USDOE Office of Science (SC). Basic Energy Sciences (BES) (SC-22)
Grant/Contract Number:
89233218CNA000001
OSTI ID:
1512736
Alternate ID(s):
OSTI ID: 1530254
Report Number(s):
LA-UR--17-22705
Journal Information:
Nature Physics, Journal Name: Nature Physics Journal Issue: 10 Vol. 12; ISSN 1745-2473
Publisher:
Nature Publishing Group (NPG)Copyright Statement
Country of Publication:
United States
Language:
English

References (33)

Low-temperature electrical resistivity of journal May 2006
Electronic liquid-crystal phases of a doped Mott insulator journal June 1998
Why the temperature is high journal July 2004
The break-up of heavy electrons at a quantum critical point journal July 2003
Quantum critical behaviour in a high-Tc superconductor journal September 2003
Electronic nematicity above the structural and superconducting transition in BaFe2(As1−xP x )2 journal June 2012
Bounding the pseudogap with a line of phase transitions in YBa2Cu3O6+δ journal June 2013
Transport near a quantum critical point in BaFe2(As1−xPx)2 journal January 2014
Theory of universal incoherent metallic transport journal December 2014
Possible unconventional superconductivity in substituted BaFe2As2 revealed by magnetic pair-breaking studies journal September 2014
Iron pnictides as a new setting for quantum criticality journal March 2009
Quantum critical scaling at the edge of Fermi liquid stability in a cuprate superconductor journal May 2012
Superconductivity up to 30 K in the vicinity of the quantum critical point in BaFe 2 (As 1− x P x ) 2 journal August 2009
P 31 and A 75 s NMR evidence for a residual density of states at zero energy in superconducting BaFe 2 ( As 0.67 P 0.33 ) 2 journal January 2010
Evolution from non-Fermi- to Fermi-liquid transport via isovalent doping in BaFe 2 ( As 1 − x P x ) 2 superconductors journal May 2010
Linear magnetoconductivity in multiband spin-density-wave metals with nonideal nesting journal August 2013
Evolution of the Fermi Surface of BaFe 2 ( As 1 − x P x ) 2 on Entering the Superconducting Dome journal February 2010
Enhanced Fermi-Surface Nesting in Superconducting BaFe 2 ( As 1 − x P x ) 2 Revealed by the de Haas–van Alphen Effect journal November 2010
Quasiparticle Mass Enhancement Close to the Quantum Critical Point in BaFe 2 ( As 1 − x P x ) 2 journal June 2013
Phenomenology of the normal state of Cu-O high-temperature superconductors journal October 1989
Universal quantum-critical dynamics of two-dimensional antiferromagnets journal October 1992
Systematic evolution of temperature-dependent resistivity in La 2 − x Sr x CuO 4 journal November 1992
Breakdown of One-Parameter Scaling in Quantum Critical Scenarios for High-Temperature Copper-Oxide Superconductors journal August 2005
Breakdown of Weak-Field Magnetotransport at a Metallic Quantum Critical Point journal December 2005
Formation of a Nematic Fluid at High Fields in Sr3Ru2O7 journal January 2007
Anomalous Criticality in the Electrical Resistivity of La2-xSrxCuO4 journal January 2009
A Sharp Peak of the Zero-Temperature Penetration Depth at Optimal Composition in BaFe2(As1-xPx)2 journal June 2012
Similarity of Scattering Rates in Metals Showing T-Linear Resistivity journal February 2013
Quasiparticle mass enhancement approaching optimal doping in a high-Tc superconductor journal March 2015
Linear magnetoconductivity in multiband spin-density-wave metals with nonideal nesting text January 2013
Theory of universal incoherent metallic transport text January 2014
Quasiparticle mass enhancement approaching optimal doping in a high-Tc superconductor text January 2014
Universal quantum critical dynamics of two-dimensional antiferromagnets text January 1992

Cited By (16)

A unified form of low-energy nodal electronic interactions in hole-doped cuprate superconductors journal December 2019
Backreacted DBI magnetotransport with momentum dissipation journal October 2017
Universal T-linear resistivity and Planckian dissipation in overdoped cuprates journal November 2018
Nematicity, magnetism and superconductivity in FeSe journal December 2017
Possible scale invariant linear magnetoresistance in pyrochlore iridates Bi 2 Ir 2 O 7 journal November 2019
Quantum criticality and DBI magneto-resistance journal February 2017
Coherent Superconductivity with a Large Gap Ratio from Incoherent Metals journal October 2018
Coexistence of orbital and quantum critical magnetoresistance in FeSe 1 − x S x journal September 2019
Magnetotransport in a Model of a Disordered Strange Metal journal May 2018
Correlation between scale-invariant normal-state resistivity and superconductivity in an electron-doped cuprate journal May 2019
Scale-invariant magnetoresistance in a cuprate superconductor journal August 2018
Correlation between scale-invariant normal-state resistivity and superconductivity in an electron-doped cuprate text January 2019
Planckian dissipation, minimal viscosity and the transport in cuprate strange metals journal January 2019
Possible Scale Invariant Linear Magnetoresistance in Pyrochlore Iridates Bi$_2$Ir$_2$O$_7$ text January 2013
Quantum Criticality and DBI Magneto-resistance text January 2016
Magnetotransport in a model of a disordered strange metal text January 2017

Figures / Tables (3)


Similar Records

Scaling between magnetic field and temperature in the high-temperature superconductor BaFe2(As1-xPx)2
Journal Article · Sat Oct 01 00:00:00 EDT 2016 · Nature Physics · OSTI ID:1530254

THE ATOMIC MOMENTS AND HYPERFINE FIELDS IN Fe$sub 2$Ti AND Fe$sub 2$Zr
Journal Article · Wed Feb 28 23:00:00 EST 1962 · Journal of Applied Physics (U.S.) · OSTI ID:4781585

Magnetization and magnetic susceptibilities of GdH/sub 3/, HoH/sub 3/, ErH/sub 3/ and YbH/sub 3/. [1. 2 to 4. 2 K]
Technical Report · Wed Dec 31 23:00:00 EST 1975 · OSTI ID:7122911