Skip to main content
U.S. Department of Energy
Office of Scientific and Technical Information

Auxiliary-field quantum Monte Carlo calculations of the structural properties of nickel oxide

Journal Article · · Journal of Chemical Physics
DOI:https://doi.org/10.1063/1.5040900· OSTI ID:1512639
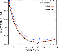
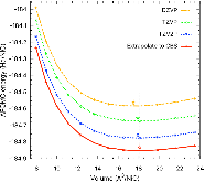
Auxiliary-field quantum Monte Carlo (AFQMC) has repeatedly shown itself as one of the most accurate quantum many-body methods, capable of simulating both real and model systems. In this work, we investigate the application of AFQMC to realistic strongly correlated materials in periodic Gaussian basis sets. Using nickel oxide (NiO) as an example, we investigate the importance of finite size effects and basis set errors on the structural properties of the correlated solid. We propose benchmark calculations for NiO and compare our results to both experimental measurements and existing theoretical methods.
Research Organization:
Lawrence Livermore National Laboratory (LLNL), Livermore, CA (United States)
Sponsoring Organization:
USDOE; USDOE National Nuclear Security Administration (NNSA)
Grant/Contract Number:
AC52-07NA27344
OSTI ID:
1512639
Alternate ID(s):
OSTI ID: 1478444
Report Number(s):
LLNL-JRNL--752156; 936048
Journal Information:
Journal of Chemical Physics, Journal Name: Journal of Chemical Physics Journal Issue: 16 Vol. 149; ISSN 0021-9606
Publisher:
American Institute of Physics (AIP)Copyright Statement
Country of Publication:
United States
Language:
English

References (136)

Finite-size effects and Coulomb interactions in quantum Monte Carlo calculations for homogeneous systems with periodic boundary conditions journal January 1996
High-precision calculation of Hartree-Fock energy of crystals journal October 2008
MOLCAS 7: The Next Generation journal January 2010
Simplifications in the generation and transformation of two-electron integrals in molecular calculations journal October 1977
cp2k: atomistic simulations of condensed matter systems
  • Hutter, Jürg; Iannuzzi, Marcella; Schiffmann, Florian
  • Wiley Interdisciplinary Reviews: Computational Molecular Science, Vol. 4, Issue 1 https://doi.org/10.1002/wcms.1159
journal June 2013
P y SCF: the Python-based simulations of chemistry framework : The PySCF program
  • Sun, Qiming; Berkelbach, Timothy C.; Blunt, Nick S.
  • Wiley Interdisciplinary Reviews: Computational Molecular Science, Vol. 8, Issue 1 https://doi.org/10.1002/wcms.1340
journal September 2017
Ab initio computations of molecular systems by the auxiliary-field quantum Monte Carlo method journal May 2018
Metal-insulator transitions journal June 1991
Stability conditions and nuclear rotations in the Hartree-Fock theory journal November 1960
Basis-set convergence in correlated calculations on Ne, N2, and H2O journal April 1998
Equation of state of NiO studied by shock compression journal April 1999
Gaussian-Based Coupled-Cluster Theory for the Ground-State and Band Structure of Solids journal February 2017
Computation of Ground-State Properties in Molecular Systems: Back-Propagation with Auxiliary-Field Quantum Monte Carlo journal October 2017
Frozen-Orbital and Downfolding Calculations with Auxiliary-Field Quantum Monte Carlo journal October 2013
Towards an exact description of electronic wavefunctions in real solids journal December 2012
From quantum matter to high-temperature superconductivity in copper oxides journal February 2015
Quantum magnetism and criticality journal March 2008
Voltage- and time-dependent valence state transition in cobalt oxide catalysts during the oxygen evolution reaction journal April 2020
Reduced scaling in electronic structure calculations using Cholesky decompositions journal June 2003
Antiferromagnetic Structure and Domains in Single Crystal NiO journal May 1960
Auxiliary-field quantum Monte Carlo calculations of molecular systems with a Gaussian basis journal June 2006
Erratum: “Hybrid functionals based on a screened Coulomb potential” [J. Chem. Phys. 118, 8207 (2003)] journal June 2006
Auxiliary-field quantum Monte Carlo study of first- and second-row post-d elements journal October 2006
A study of H+H2 and several H-bonded molecules by phaseless auxiliary-field quantum Monte Carlo with plane wave and Gaussian basis sets journal May 2007
Gaussian basis sets for accurate calculations on molecular systems in gas and condensed phases journal September 2007
Excited state calculations using phaseless auxiliary-field quantum Monte Carlo: Potential energy curves of low-lying C2 singlet states journal March 2009
Fermion Monte Carlo without fixed nodes: A game of life, death, and annihilation in Slater determinant space journal January 2009
Assessing weak hydrogen binding on Ca + centers: An accurate many-body study with large basis sets journal October 2011
Density‐functional thermochemistry. III. The role of exact exchange journal April 1993
Rationale for mixing exact exchange with density functional approximations journal December 1996
Toward reliable density functional methods without adjustable parameters: The PBE0 model journal April 1999
Imaginary time correlations and the phaseless auxiliary field quantum Monte Carlo journal January 2014
Systematic study of finite-size effects in quantum Monte Carlo calculations of real metallic systems journal September 2015
Many-body ab initio diffusion quantum Monte Carlo applied to the strongly correlated oxide NiO journal October 2015
Gaussian and plane-wave mixed density fitting for periodic systems journal October 2017
Communication: Calculation of interatomic forces and optimization of molecular geometry with auxiliary-field quantum Monte Carlo journal May 2018
The Compressibility of Media under Extreme Pressures journal September 1944
Compression behavior of NiO in a diamond cell journal September 1995
Discovering correlated fermions using quantum Monte Carlo journal August 2016
QUANTUM ESPRESSO: a modular and open-source software project for quantum simulations of materials journal September 2009
First-principles calculations of the electronic structure and spectra of strongly correlated systems: dynamical mean-field theory journal September 1997
Advanced capabilities for materials modelling with Quantum ESPRESSO journal October 2017
QMCPACK : an open source ab initio quantum Monte Carlo package for the electronic structure of atoms, molecules and solids journal April 2018
Excited state calculations in solids by auxiliary-field quantum Monte Carlo journal September 2013
Electron correlations in narrow energy bands journal November 1963
Magnetic Structures of MnO, FeO, CoO, and NiO journal June 1958
Multispin Axis Structures for Antiferromagnets journal August 1958
Inhomogeneous Electron Gas journal November 1964
Self-Consistent Equations Including Exchange and Correlation Effects journal November 1965
Neutron Diffraction by Paramagnetic and Antiferromagnetic Substances journal July 1951
Special points for Brillouin-zone integrations journal June 1976
"Special points for Brillouin-zone integrations"—a reply journal August 1977
Self-interaction correction to density-functional approximations for many-electron systems journal May 1981
Exchange Striction in NiO journal February 1971
Development of the Colle-Salvetti correlation-energy formula into a functional of the electron density journal January 1988
Electronic structure of NiO: Correlation and band effects journal August 1991
Improved tetrahedron method for Brillouin-zone integrations journal June 1994
Efficient iterative schemes for ab initio total-energy calculations using a plane-wave basis set journal October 1996
Separable dual-space Gaussian pseudopotentials journal July 1996
Constrained path Monte Carlo method for fermion ground states journal March 1997
Electron-energy-loss spectra and the structural stability of nickel oxide: An LSDA+U study journal January 1998
Crystal structure of NiO under high pressure journal June 2000
Metal-insulator and magnetic transition of NiO at high pressures journal January 2004
Inhomogeneous Electron Gas journal March 1973
Character of the insulating state in NiO: A mixture of charge-transfer and Mott-Hubbard character journal March 2005
Auxiliary-field quantum Monte Carlo study of TiO and MnO molecules journal February 2006
Hybrid exchange-correlation energy functionals for strongly correlated electrons: Applications to transition-metal monoxides journal October 2006
LDA + DMFT computation of the electronic spectrum of NiO journal November 2006
Phaseless auxiliary-field quantum Monte Carlo calculations with plane waves and pseudopotentials: Applications to atoms and molecules journal June 2007
Finite-size errors in continuum quantum Monte Carlo calculations journal September 2008
GW approximation with LSDA + U method and applications to NiO, MnO, and V 2 O 3 journal October 2008
Calculation of properties of crystalline lithium hydride using correlated wave function theory journal October 2009
Pressure-induced diamond to β -tin transition in bulk silicon: A quantum Monte Carlo study journal December 2009
Direct probe of Mott-Hubbard to charge-transfer insulator transition and electronic structure evolution in transition-metal systems journal June 2011
Finite-size correction in many-body electronic structure calculations of magnetic systems journal October 2011
Quantum Monte Carlo study of the three-dimensional spin-polarized homogeneous electron gas journal August 2013
Electronic structure of NiO: Antiferromagnetic transition and photoelectron spectra in the ordered phase journal June 2015
Phase stability and properties of manganese oxide polymorphs: Assessment and insights from diffusion Monte Carlo journal December 2015
Benchmarking the pseudopotential and fixed-node approximations in diffusion Monte Carlo calculations of molecules and solids journal March 2016
Theory of finite size effects for electronic quantum Monte Carlo calculations of liquids and solids journal July 2016
Benchmark study of the two-dimensional Hubbard model with auxiliary-field quantum Monte Carlo method journal August 2016
Computation of dynamical correlation functions for many-fermion systems with auxiliary-field quantum Monte Carlo journal August 2016
Magnetic collapse and the behavior of transition metal oxides at high pressure journal October 2016
Coupling quantum Monte Carlo and independent-particle calculations: Self-consistent constraint for the sign problem based on the density or the density matrix journal December 2016
Auxiliary-field quantum Monte Carlo calculations with multiple-projector pseudopotentials journal April 2017
Twist-averaged boundary conditions in continuum quantum Monte Carlo algorithms journal June 2001
Quantum Monte Carlo method for the ground state of many-boson systems journal November 2004
Finite-Size Correction in Many-Body Electronic Structure Calculations journal March 2008
Quantum Monte Carlo Calculations in Solids with Downfolded Hamiltonians journal June 2015
Calculation of Partition Functions journal July 1959
Ground State of the Electron Gas by a Stochastic Method journal August 1980
Generalized Gradient Approximation Made Simple journal October 1996
Quantum Monte Carlo Method using Phase-Free Random Walks with Slater Determinants journal April 2003
Finite-Size Error in Many-Body Simulations with Long-Range Interactions journal August 2006
Electronic properties of doped and defective NiO: A quantum Monte Carlo study journal December 2017
Solutions of the Two-Dimensional Hubbard Model: Benchmarks and Results from a Wide Range of Numerical Algorithms journal December 2015
Towards the Solution of the Many-Electron Problem in Real Materials: Equation of State of the Hydrogen Chain with State-of-the-Art Many-Body Methods journal September 2017
Dynamical mean-field theory of strongly correlated fermion systems and the limit of infinite dimensions journal January 1996
Metal-insulator transitions journal October 1998
Quantum Monte Carlo simulations of solids journal January 2001
Electronic excitations: density-functional versus many-body Green’s-function approaches journal June 2002
Doping a Mott insulator: Physics of high-temperature superconductivity journal January 2006
Electronic structure calculations with dynamical mean-field theory journal August 2006
Challenges in Modeling Materials Properties Without Experimental Input journal August 2008
Heavy Fermions and Quantum Phase Transitions journal September 2010
Magnetic Collapse in Transition Metal Oxides at High Pressure: Implications for the Earth journal January 1997
Stripe order in the underdoped region of the two-dimensional Hubbard model journal November 2017
Development of the Colle-Salvetti correlation-energy formula into a functional of the electron density text January 1988
Advanced capabilities for materials modelling with Quantum ESPRESSO text January 2017
Finite-size correction in many-body electronic structure calculations text January 2007
Quantum magnetism and criticality text January 2007
Assessing weak hydrogen binding on Ca+ centers: An accurate many-body study with large basis sets text January 2011
Finite-size correction in many-body electronic structure calculations of magnetic systems text January 2011
Frozen-orbital and downfolding calculations with auxiliary-field quantum Monte Carlo text January 2013
Imaginary Time Correlations and the phaseless Auxiliary Field Quantum Monte Carlo text January 2013
Electronic Structure of NiO: Antiferromagnetic Transition and Photoelectron Spectra in the Ordered Phase preprint January 2015
Benchmark study of the two-dimensional Hubbard model with auxiliary-field quantum Monte Carlo method text January 2016
Computation of dynamical correlation functions for many fermion systems with auxiliary-field quantum Monte Carlo text January 2016
Coupling quantum Monte Carlo and independent-particle calculations: self-consistent constraint for the sign problem based on density or density matrix text January 2016
Auxiliary-field quantum Monte Carlo calculations with multiple-projector pseudopotentials text January 2016
Stripe order in the underdoped region of the two-dimensional Hubbard model text January 2017
Gaussian-based coupled-cluster theory for the ground state and band structure of solids preprint January 2017
Towards the solution of the many-electron problem in real materials: equation of state of the hydrogen chain with state-of-the-art many-body methods text January 2017
Advanced capabilities for materials modelling with Quantum ESPRESSO text January 2017
QMCPACK : An open source ab initio Quantum Monte Carlo package for the electronic structure of atoms, molecules, and solids text January 2018
Quantum Monte Carlo method using phase-free random walks with Slater determinants text January 2002
Auxiliary-field quantum Monte Carlo study of TiO and MnO molecules text January 2005
The Finite Size Error in Many-body Simulations with long-Ranged Interactions text January 2006
Phaseless auxiliary-field quantum Monte Carlo calculations with planewaves and pseudopotentials--applications to atoms and molecules text January 2007
A Constrained Path Monte Carlo Method for Fermion Ground States text January 1996
First-principles Calculations of the Electronic Structure and Spectra of Strongly Correlated Systems: Dynamical Mean-field Theory text January 1997
Separable Dual Space Gaussian Pseudo-potentials text January 1995
Auxiliary-field quantum Monte Carlo calculations of molecular systems with a Gaussian basis text January 2006
A study of H+H$_2$ and several H-bonded molecules by phaseless auxiliary-field quantum Monte Carlo with planewave and Gaussian basis sets text January 2007
Gaussian basis sets for accurate calculations on molecular systems in gas and condensed phases text January 2007
CP2K: Atomistic simulations of condensed matter systems text January 2014

Cited By (5)

Complementary first and second derivative methods for ansatz optimization in variational Monte Carlo journal January 2019
Non-orthogonal multi-Slater determinant expansions in auxiliary field quantum Monte Carlo journal February 2019
An auxiliary-Field quantum Monte Carlo perspective on the ground state of the dense uniform electron gas: An investigation with Hartree-Fock trial wavefunctions journal August 2019
Hamiltonian symmetries in auxiliary-field quantum Monte Carlo calculations for electronic structure journal July 2019
Non-Orthogonal Multi-Slater Determinant Expansions in Auxiliary Field Quantum Monte Carlo preprint January 2018

Figures / Tables (6)


Similar Records

Communication: Calculation of interatomic forces and optimization of molecular geometry with auxiliary-field quantum Monte Carlo
Journal Article · Mon May 07 20:00:00 EDT 2018 · Journal of Chemical Physics · OSTI ID:1540205

An auxiliary-field quantum Monte Carlo study of the chromium dimer
Journal Article · Fri Feb 13 23:00:00 EST 2015 · Journal of Chemical Physics · OSTI ID:22416105

An auxiliary-field quantum Monte Carlo study of the chromium dimer
Journal Article · Sun Feb 08 19:00:00 EST 2015 · Journal of Chemical Physics · OSTI ID:1565337