Synthesis route attribution of sulfur mustard by multivariate data analysis of chemical signatures
- Swedish Defence Research Agency, Umeå (Sweden)
- Lawrence Livermore National Lab. (LLNL), Livermore, CA (United States). Forensic Science Center
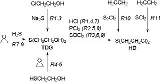
A multivariate model was developed here to attribute samples to a synthetic method used in the production of sulfur mustard (HD). Eleven synthetic methods were used to produce 66 samples for model construction. Three chemists working in both participating laboratories took part in the production, with the aim to introduce variability while reducing the influence of laboratory or chemist specific impurities in multivariate analysis. A gas chromatographic/mass spectrometric data set of peak areas for 103 compounds was subjected to orthogonal partial least squares - discriminant analysis to extract chemical attribution signature profiles and to construct multivariate models for classification of samples. For one- and two-step routes, model quality allowed the classification of an external test set (16/16 samples) according to synthesis conditions in the reaction yielding sulfur mustard. Classification of samples according to first-step methodology was considerably more difficult, given the high purity and uniform quality of the intermediate thiodiglycol produced in the study. Model performance in classification of aged samples was also investigated.
- Research Organization:
- Lawrence Livermore National Lab. (LLNL), Livermore, CA (United States); Swedish Defence Research Agency, Umeå (Sweden)
- Sponsoring Organization:
- USDOE National Nuclear Security Administration (NNSA); Dept. of Homeland Security (DHS) (United States); Swedish Civil Contingencies Agency
- Grant/Contract Number:
- AC52-07NA27344
- OSTI ID:
- 1512629
- Report Number(s):
- LLNL-JRNL--738170; 887649
- Journal Information:
- Talanta, Journal Name: Talanta Vol. 186; ISSN 0039-9140
- Publisher:
- ElsevierCopyright Statement
- Country of Publication:
- United States
- Language:
- English
Similar Records
Part 1: Tracing Russian VX to its synthetic routes by multivariate statistics of chemical attribution signatures
Toxicological evaluation/verification of decontamination procedures/products from alternative technologies for chemical demilitarization: Products of mustard (HD) neutralization and/or hydrolysis. Final report, February-June 1996