Skip to main content
U.S. Department of Energy
Office of Scientific and Technical Information

Interactions between Bacillus anthracis and Plants May Promote Anthrax Transmission

Journal Article · · PLoS Neglected Tropical Diseases (Online)
 [1];  [1];  [2];  [3];  [4];  [5];  [6];  [7]
  1. Univ. of California, Berkeley, CA (United States). Dept. of Environmental Science, Policy and Management
  2. Univ. of California, Berkeley, CA (United States). Dept. of Environmental Science, Policy and Management; Lawrence Berkeley National Lab. (LBNL), Berkeley, CA (United States). Ecology Dept. Earth Science Division
  3. Independent researcher, Windhoek (Namibia)
  4. Univ. of California, Berkeley, CA (United States). Dept. of Statistics
  5. Ministry of Fisheries and Marine Resources, Katima Mulilo (Namibia). Inland Aquaculture
  6. Lawrence Berkeley National Lab. (LBNL), Berkeley, CA (United States). Ecology Dept. Earth Science Division
  7. Univ. of California, Berkeley, CA (United States). Dept. of Environmental Science, Policy and Management; Univ. of KwaZulu-Natal, Durban (South Africa). School of Mathematical Sciences

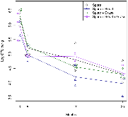
Environmental reservoirs are essential in the maintenance and transmission of anthrax but are poorly characterized. The anthrax agent, Bacillus anthracis was long considered an obligate pathogen that is dormant and passively transmitted in the environment. However, a growing number of laboratory studies indicate that, like some of its close relatives, B. anthracis has some activity outside of its vertebrate hosts. Here we show in the field that B. anthracis has significant interactions with a grass that could promote anthrax spore transmission to grazing hosts. Using a local, virulent strain of B. anthracis, we performed a field experiment in an enclosure within a grassland savanna. We found that B. anthracis increased the rate of establishment of a native grass (Enneapogon desvauxii) by 50% and that grass seeds exposed to blood reached heights that were 45% taller than controls. Further we detected significant effects of E. desvauxii, B. anthracis, and their interaction on soil bacterial taxa richness and community composition. We did not find any evidence for multiplication or increased longevity of B. anthracis in bulk soil associated with grass compared to controls. Instead interactions between B. anthracis and plants may result in increased host grazing and subsequently increased transmission to hosts.

Research Organization:
Lawrence Berkeley National Laboratory (LBNL), Berkeley, CA (United States)
Sponsoring Organization:
USDOE Office of Science (SC); National Inst. of Health (NIH) (United States)
Grant/Contract Number:
AC02-05CH11231
OSTI ID:
1511384
Journal Information:
PLoS Neglected Tropical Diseases (Online), Journal Name: PLoS Neglected Tropical Diseases (Online) Journal Issue: 6 Vol. 8; ISSN 1935-2735
Publisher:
Public Library of ScienceCopyright Statement
Country of Publication:
United States
Language:
English

References (67)

Prairie vegetation and soil nutrient responses to ungulate carcasses journal February 2000
Drought Tolerance and Antioxidant Activities in Lavender Plants Colonized by Native Drought-tolerant or Drought-sensitive Glomus Species journal April 2007
A classification of the vegetation of the Etosha National Park journal February 1988
Sporulation and viability of B. anthracis in relation to environmental temperature and humidity journal January 1950
Bacillus anthracis on Gruinard Island journal November 1981
UniFrac: an effective distance metric for microbial community comparison journal September 2010
Diversity and heritability of the maize rhizosphere microbiome under field conditions journal April 2013
Phenotypic and functional characterization of Bacillus anthracis biofilms journal June 2007
Identification and characterization of Bacillus anthracis by multiplex PCR analysis of sequences on plasmids pXO1 and pXO2 and chromosomal DNA journal November 1996
Species divergence and the measurement of microbial diversity journal July 2008
Genome Differences That Distinguish Bacillus anthracis from Bacillus cereus and Bacillus thuringiensis journal May 2003
Bacillus anthracis Multiplication, Persistence, and Genetic Exchange in the Rhizosphere of Grass Plants journal May 2006
Bacillus cereus and related species. journal October 1993
Distribution and Molecular Evolution of Bacillus anthracis Genotypes in Namibia journal March 2012
Evaluation of the House Fly Musca domestica as a Mechanical Vector for an Anthrax journal August 2010
Internal Colonization of Salmonella enterica Serovar Typhimurium in Tomato Plants journal November 2011
Novel Giant Siphovirus from Bacillus anthracis Features Unusual Genome Characteristics journal January 2014
Environmental Factors Determining the Epidemiology and Population Genetic Structure of the Bacillus cereus Group in the Field journal May 2010
Effect of Muskox Carcasses on Nitrogen Concentration in Tundra Vegetation journal January 2002
Louis Pasteur book November 2000
Mixed-Effects Models in Sand S-PLUS book January 2000
Genomics of Bacillus Species book December 2010
Introduction: Anthrax History, Disease and Ecology book January 2002
Increased Plant Fitness by Rhizobacteria book January 2004
Prairie vegetation and soil nutrient responses to ungulate carcasses journal February 2000
Characterization of Bacterial Community Structure in Rhizosphere Soil of Grain Legumes journal April 2005
The Stability of Messenger Ribonucleic Acid during Sporulation in Bacillus subtilis journal May 1971
A classification of the vegetation of the Etosha National Park journal February 1988
Sporulation and viability of B. anthracis in relation to environmental temperature and humidity journal January 1950
Induction of Intestinal Th17 Cells by Segmented Filamentous Bacteria journal October 2009
Interactions of Bacillus spp. and plants – With special reference to induced systemic resistance (ISR) journal September 2009
Intracellular and extracellular PGPR: commonalities and distinctions in the plant–bacterium signaling processes journal March 2005
Bacterial diversity of the rhizosphere of maize (Zea mays) grown in tropical soil studied by temperature gradient gel electrophoresis journal May 2001
Applications of free living plant growth-promoting rhizobacteria journal August 2004
Selective progressive response of soil microbial community to wild oat roots journal November 2008
Going back to the roots: the microbial ecology of the rhizosphere journal September 2013
The life and works of Louis Pasteur journal October 2001
The hidden lifestyles of Bacillus cereus and relatives: The hidden lifestyles of B. cereus and relatives journal July 2003
Urban aerosols harbor diverse and dynamic bacterial populations journal December 2006
The Arthromitus stage of Bacillus cereus: Intestinal symbionts of animals journal February 1998
Drought-tolerant plant growth promoting Bacillus spp.: effect on growth, osmolytes, and antioxidant status of maize under drought stress journal March 2011
Microbial co-operation in the rhizosphere journal May 2005
The Plant-Growth-Promoting Rhizobacterium Paenibacillus polymyxa Induces Changes in Arabidopsis thaliana Gene Expression: A Possible Connection Between Biotic and Abiotic Stress Responses journal November 1999
Bacillus anthracis but not always anthrax journal January 1992
Bacillus anthracis but not always anthrax journal January 1992
Engineering Modified Bt Toxins to Counter Insect Resistance journal December 2007
Ecology of Anthrax journal June 1971
Effects of Experimental Exclusion of Scavengers from Carcasses of Anthrax-Infected Herbivores on Bacillus anthracis Sporulation, Survival, and Distribution journal April 2013
Application of a High-Density Oligonucleotide Microarray Approach To Study Bacterial Population Dynamics during Uranium Reduction and Reoxidation journal September 2006
Germination and Amplification of Anthrax Spores by Soil-Dwelling Amoebas journal September 2012
Genome Differences That Distinguish Bacillus anthracis from Bacillus cereus and Bacillus thuringiensis journal May 2003
UniFrac: a New Phylogenetic Method for Comparing Microbial Communities journal December 2005
Bacillus anthracis Multiplication, Persistence, and Genetic Exchange in the Rhizosphere of Grass Plants journal May 2006
Bacillus cereus and related species. journal October 1993
Detailed Genomic Analysis of the W  and   Phages Infecting Bacillus anthracis: Implications for Evolution of Environmental Fitness and Antibiotic Resistance journal April 2006
Bacillus cereus and related species. journal January 1993
Seasonal variation in foraging behaviour of plains zebra ( Equus quagga ) may alter contact with the anthrax bacterium ( Bacillus anthracis ) journal April 2014
The enhancement of plant growth by free-living bacteria journal February 1995
Long-term survival and germination of Bacillus thuringiensis var. kurstaki in a field trial journal March 2002
The Secret Life of the Anthrax Agent Bacillus anthracis: Bacteriophage-Mediated Ecological Adaptations journal August 2009
Anthrax, but Not Bacillus anthracis? journal January 2006
Diversity and heritability of the maize rhizosphere microbiome under field conditions text January 2013
Feedbacks Between soil Nutrients and Large Herbivores in a Managed Savanna Ecosystem journal October 2003
Wolves modulate soil nutrient heterogeneity and foliar nitrogen by configuring the distribution of ungulate carcasses journal November 2009
Soil ingestion, nutrition and the seasonality of anthrax in herbivores of Etosha National Park journal January 2013
Novel Giant Siphovirus from Bacillus anthracis Features Unusual Genome Characteristics text January 2014
Dispersal of Salmonella Typhimurium by Rain Splash onto Tomato Plants journal March 2012

Cited By (15)

Climatic influence on anthrax suitability in warming northern latitudes journal June 2018
Lethal exposure: An integrated approach to pathogen transmission via environmental reservoirs journal June 2016
Temporal dynamics in microbial soil communities at anthrax carcass sites journal September 2017
Decoupling environmental effects and host population dynamics for anthrax, a classic reservoir-driven disease journal December 2018
Phytoremediation potential of rhizobacterial isolates from Kans grass (Saccharum spontaneum) of fly ash ponds journal January 2017
Accumulation of lead (Pb II) metal ions by Bacillus toyonensis SCE1 species, innate to industrial-area ground water and nanoparticle synthesis journal October 2018
Soil biodiversity and human health journal November 2015
Fatal attraction: vegetation responses to nutrient inputs attract herbivores to infectious anthrax carcass sites journal November 2014
The elephant–livestock interface modulates anthrax suitability in India journal March 2019
Using movement data to estimate contact rates in a simulated environmentally-transmitted disease system posted_content February 2018
Spores and soil from six sides: interdisciplinarity and the environmental biology of anthrax ( Bacillus anthracis ): The environmental biology of Bacillus anthracis journal May 2018
Large Blooms of Bacillales ( Firmicutes ) Underlie the Response to Wetting of Cyanobacterial Biocrusts at Various Stages of Maturity journal March 2018
Prevalence of plant beneficial and human pathogenic bacteria isolated from salad vegetables in India journal March 2017
Microevolution of Anthrax from a Young Ancestor (M.A.Y.A.) Suggests a Soil-Borne Life Cycle of Bacillus anthracis journal August 2015
Modeling R0 for Pathogens with Environmental Transmission: Animal Movements, Pathogen Populations, and Local Infectious Zones journal March 2019

Figures / Tables (7)


Similar Records

Laboratory strains of Bacillus anthracis lose their ability to rapidly grow and sporulate compared to wildlife outbreak strains
Journal Article · Thu Jan 23 23:00:00 EST 2020 · PLoS ONE · OSTI ID:1597654

One Health Assessment of Bacillus anthracis Incidence and Detection in Anthrax-Endemic Areas of Pakistan
Journal Article · Sat Sep 30 00:00:00 EDT 2023 · Microorganisms · OSTI ID:2368755