On the Determination of the 7 Be(n, α ) 4 He Reaction Cross Section at BBN Energies
                            Journal Article
                            ·
                            
                            · The Astrophysical Journal (Online)
                            
                        
                    - Univ. of Catania, Catania (Italy); Istituto Nazionale di Fisica Nucleare (INFN), Catania (Italy). Lab. Nazionali del Sud (INFN-LNS); none
- Univ. of Catania, Catania (Italy); Istituto Nazionale di Fisica Nucleare (INFN), Catania (Italy). Lab. Nazionali del Sud (INFN-LNS)
- Texas A & M Univ.-Commerce, Commerce, TX (United States)
- Texas A & M Univ.-Commerce, Commerce, TX (United States); Chinese Academy of Sciences (CAS), Lanzhou (China)
- Istituto Nazionale di Fisica Nucleare (INFN), Catania (Italy). Lab. Nazionali del Sud (INFN-LNS)
- Istituto Nazionale di Fisica Nucleare (INFN), Catania (Italy). Lab. Nazionali del Sud (INFN-LNS); Kore Univ. of Enna, Enna (Italy)
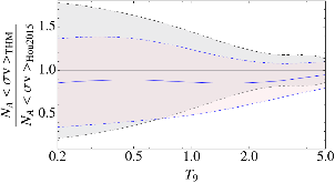
7Be destruction channels are presently a matter of study due to their influence on the 7Li cosmological abundances. In this work, we determine the cross section of the (n, α) reaction by using Trojan Horse experimental data for the 7Li(p, α)4He reaction and correcting for Coulomb effects. The deduced 7Be(n, α)4He data overlap with the Big Bang nucleosynthesis energies and the deduced reaction rate allows us to evaluate the corresponding cosmological implications.
- Research Organization:
- Texas A & M Univ.-Commerce, Commerce, TX (United States)
- Sponsoring Organization:
- USDOE Office of Science (SC), Nuclear Physics (NP) (SC-26)
- Grant/Contract Number:
- FG02-08ER41533
- OSTI ID:
- 1511024
- Journal Information:
- The Astrophysical Journal (Online), Journal Name: The Astrophysical Journal (Online) Journal Issue: 2 Vol. 850; ISSN 1538-4357
- Publisher:
- Institute of Physics (IOP)Copyright Statement
- Country of Publication:
- United States
- Language:
- English
| Direct and Indirect Measurements for a Better Understanding of the Primordial Nucleosynthesis 
 | journal | October 2020 | 
| Big-Bang Nucleosynthesis after Planck 
 | journal | March 2020 | 
| Astrophysics studies with the Trojan Horse Method 
 | journal | September 2019 | 
| Nuclear physics and its role for describing the early universe 
 | journal | January 2019 | 
| Impact of the 7Be(α, γ)11C Reaction on the Primordial Abundance of 7Li 
 | journal | July 2018 | 
| Big-Bang Nucleosynthesis After Planck | text | January 2019 | 
Similar Records
                                
                                
                                    
                                        
                                        Cross-section Measurement of the Cosmologically Relevant 7Be(n, α)4 He Reaction over a Broad Energy Range in a Single Experiment
                                        
New Thermonuclear Rate of 7Li(d,n)24He Relevant to the Cosmological Lithium Problem
Direct and Indirect Measurements for a Better Understanding of the Primordial Nucleosynthesis
                        
                                            Journal Article
                                            ·
                                            Fri Jun 28 00:00:00 EDT 2019
                                            · The Astrophysical Journal (Online)
                                            ·
                                            OSTI ID:1609971
                                        
                                        
                                        
                                    
                                
                                    
                                        New Thermonuclear Rate of 7Li(d,n)24He Relevant to the Cosmological Lithium Problem
                                            Journal Article
                                            ·
                                            Mon Oct 25 00:00:00 EDT 2021
                                            · The Astrophysical Journal
                                            ·
                                            OSTI ID:1981225
                                        
                                        
                                        
                                    
                                
                                    
                                        Direct and Indirect Measurements for a Better Understanding of the Primordial Nucleosynthesis
                                            Journal Article
                                            ·
                                            Thu Oct 29 00:00:00 EDT 2020
                                            · Frontiers in Astronomy and Space Sciences
                                            ·
                                            OSTI ID:1849863
                                        
                                        
                                        
                                    
                                
                             
                                                 
                                                 
                                                 
                                                 
                                                