Skip to main content
U.S. Department of Energy
Office of Scientific and Technical Information

Hydration-dependent dynamic crossover phenomenon in protein hydration water

Journal Article · · Physical Review. E, Statistical, Nonlinear, and Soft Matter Physics
 [1];  [2];  [3];  [3];  [4];  [2];  [3]
  1. Massachusetts Inst. of Technology (MIT), Cambridge, MA (United States); MIT
  2. University of Florence, Sesto Fiorentino (Italy)
  3. Massachusetts Inst. of Technology (MIT), Cambridge, MA (United States)
  4. Oak Ridge National Lab. (ORNL), Oak Ridge, TN (United States)
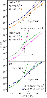
We present the characteristic relaxation time τ of protein hydration water exhibits a strong hydration level h dependence. The dynamic crossover is observed when h is higher than the monolayer hydration level hc = 0.2 –0.25 and becomes more visible as h increases. When h is lower than hc, τ only exhibits Arrhenius behavior in the measured temperature range. The activation energy of the Arrhenius behavior is insensitive to h , indicating a local-like motion. Furthermore, the h dependence of the crossover temperature shows that the protein dynamic transition is not directly or solely induced by the dynamic crossover in the hydration water.
Research Organization:
Massachusetts Inst. of Technology (MIT), Cambridge, MA (United States)
Sponsoring Organization:
USDOE Office of Science (SC), Basic Energy Sciences (BES) (SC-22)
Grant/Contract Number:
FG02-90ER45429
OSTI ID:
1505761
Alternate ID(s):
OSTI ID: 1180967
Journal Information:
Physical Review. E, Statistical, Nonlinear, and Soft Matter Physics, Journal Name: Physical Review. E, Statistical, Nonlinear, and Soft Matter Physics Journal Issue: 4 Vol. 90; ISSN 1539-3755; ISSN PLEEE8
Publisher:
American Physical Society (APS)Copyright Statement
Country of Publication:
United States
Language:
English

References (28)

Effect of the Environment on the Protein Dynamical Transition: A Neutron Scattering Study journal August 2002
Concepts and problems in protein dynamics journal October 2013
Collective Dynamics of Protein Hydration Water by Brillouin Neutron Spectroscopy journal April 2009
Low-frequency Vibrational Anomalies in β-Lactoglobulin:  Contribution of Different Hydrogen Classes Revealed by Inelastic Neutron Scattering journal December 2001
Puzzle of Protein Dynamical Transition journal June 2011
Inelastic X-ray Scattering Studies of the Short-Time Collective Vibrational Motions in Hydrated Lysozyme Powders and Their Possible Relation to Enzymatic Function journal January 2013
Proteins Remain Soft at Lower Temperatures under Pressure journal April 2009
The “Protein Dynamical Transition” Does Not Require the Protein Polypeptide Chain journal August 2011
Correlation of IR spectroscopic, heat capacity, diamagnetic susceptibility and enzymatic measurements on lysozyme powder journal April 1980
Dynamical transition of myoglobin revealed by inelastic neutron scattering journal February 1989
Water–protein dynamic coupling and new opportunities for probing it at low to physiological temperatures in aqueous solutions journal January 2012
One role of hydration water in proteins: key to the “softening” of short time intraprotein collective vibrations of a specific length scale journal January 2014
Fragile-to-strong liquid transition in deeply supercooled confined water journal January 2004
A time-of-flight backscattering spectrometer at the Spallation Neutron Source, BASIS journal August 2011
Bulk-solvent and hydration-shell fluctuations, similar to  - and  -fluctuations in glasses, control protein motions and functions journal September 2004
Observation of fragile-to-strong dynamic crossover in protein hydration water journal June 2006
A unified model of protein dynamics journal February 2009
Slaving: Solvent fluctuations dominate protein dynamics and functions journal November 2002
Common features in the microscopic dynamics of hydration water on organic and inorganic surfaces journal January 2012
Model for single-particle dynamics in supercooled water journal June 1999
Suppression of the dynamic transition in surface water at low hydration levels: A study of water on rutile journal May 2009
Hydration-dependent dynamics of deeply cooled water under strong confinement journal April 2013
Conductivity in Hydrated Proteins: No Signs of the Fragile-to-Strong Crossover journal March 2008
Dynamical Transition of Protein-Hydration Water journal March 2010
Physical Origin of Anharmonic Dynamics in Proteins: New Insights From Resolution-Dependent Neutron Scattering on Homomeric Polypeptides journal September 2012
Glass Transition and Relaxation Processes in Supercooled Water journal December 2004
Relaxation Processes in Supercooled Confined Water and Implications for Protein Dynamics journal June 2006
Influence of Hydration on the Dynamics of Lysozyme journal October 2006

Cited By (1)

Some thermodynamical aspects of protein hydration water journal June 2015

Figures / Tables (5)


Similar Records

Dynamics of a globular protein and its hydration water studied by neutron scattering and MD simulations
Journal Article · Thu Dec 31 19:00:00 EST 2009 · Spectroscopy · OSTI ID:1198016

Some thermodynamical aspects of protein hydration water
Journal Article · Sun Jun 07 00:00:00 EDT 2015 · Journal of Chemical Physics · OSTI ID:22415955

Suppression of the dynamic transition in surface water at low hydration levels: A study of water on rutile.
Journal Article · Fri May 01 00:00:00 EDT 2009 · Physical Review E · OSTI ID:1007870