Skip to main content
U.S. Department of Energy
Office of Scientific and Technical Information

Calcium- Silicate-Cement Based Blends with Natural Zeolites - Self-Healing Performance under Conditions of High-Temperature Geothermal Wells

Conference · · GRC Transactions
OSTI ID:1501581
 [1];  [1];  [2];  [3]
  1. Brookhaven National Lab. (BNL), Upton, NY (United States)
  2. Trabits Group, Wasilla, AK (United States)
  3. BJ Services, Tomball, TX (United States)
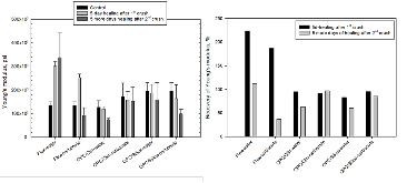
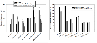
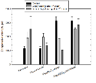
Geothermal cements are subjects to thermal and mechanical shocks, high temperatures and aggressive environments that can cause cement damage and compromise well integrity, contaminate underground waters and, if not repaired in time, lead to the well collapse. Repairs of the damaged areas are problematic for subterranean constructions. Self-repairing cements are especially attractive for such applications.
Research Organization:
Brookhaven National Laboratory (BNL), Upton, NY (United States)
Sponsoring Organization:
USDOE Office of Energy Efficiency and Renewable Energy (EERE), Geothermal Technologies Office (EE-4G)
DOE Contract Number:
SC0012704
OSTI ID:
1501581
Report Number(s):
BNL--211399-2019-JAAM
Conference Information:
Journal Name: GRC Transactions
Country of Publication:
United States
Language:
English

References (17)

Carbonation of geothermal grouts — Part 1: CO 2 attack at 150°C journal November 1986
Carbonation of geothermal grouts — Part 2: CO2 attack at 250°C journal January 1987
Carbonation of geothermal grouts — Part 3: CO2 attack on grouts containing bentonite journal March 1987
Effect of replacement of silica flour with silica fume on engineering properties of oilwell cements at normal and elevated temperatures and pressures journal May 1989
Resistance of sodium polyphosphate-modified fly ash/calcium aluminate blend cements to hot H2SO4 solution journal December 1999
Sodium-polyphosphate-modified fly ash/calcium aluminate blend cement: durability in wet, harsh geothermal environments journal May 2000
Air-foamed calcium aluminate phosphate cement for geothermal wells journal August 2005
The mineralogy of the CaO–Al2O3–SiO2–H2O (CASH) hydroceramic system from 200 to 350 °C journal January 2009
Degradation of different elastomeric polymers in simulated geothermal environments at 300 °C journal October 2015
Deep Geothermal Resources Survey Project in the Kakkonda Geothermal Field journal October 1998
Acid resistance of calcium aluminate cement–fly ash F blends journal July 2016
Completion Of Hot Dry Rock Geothermal Well Systems conference April 2013
Phillipsite and Al-tobermorite mineral cements produced through low-temperature water-rock reactions in Roman marine concrete journal July 2017
Occurrence of Zeolites in Sedimentary Rocks: An Overview journal January 2001
Corrosion-resistant Foamed Cements for Carbon Steels report December 2012
Role of Tartaric Acid in Chemical, Mechanical and Self-Healing Behaviors of a Calcium-Aluminate Cement Blend with Fly Ash F under Steam and Alkali Carbonate Environments at 270 °C journal March 2017
Bond Durability of Carbon-Microfiber-Reinforced Alkali-Activated High-Temperature Cement Adhering to Carbon Steel journal January 2017

Figures / Tables (11)