Skip to main content
U.S. Department of Energy
Office of Scientific and Technical Information

Photodissociation dynamics of the simplest alkyl peroxy radicals, CH3OO and C2H5OO, at 248 nm

Journal Article · · Journal of Chemical Physics
DOI:https://doi.org/10.1063/1.5011985· OSTI ID:1435113
 [1];  [1];  [1]
  1. Lawrence Berkeley National Lab. (LBNL), Berkeley, CA (United States); Univ. of California, Berkeley, CA (United States)
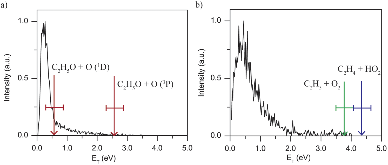
The photodissociation dynamics of the simplest alkyl peroxy radicals, methyl peroxy (CH3OO) and ethyl peroxy C2H5OO, are investigated using fast beam photofragment translational spectroscopy. A fast beam of CH3OO- or C2H5OO- anions is photodetached to generate neutral radicals that are subsequently dissociated using 248 nm photons. The coincident detection of the photofragment positions and arrival times allows for the determination of mass, translational energy, and angular distributions for both two-body and three-body dissociation events. CH3OO exhibits repulsive O loss resulting in the formation of O(1D) + CH3O with high translational energy release. Minor two-body channels leading to OH + CH2O and CH3O + O(3P) formation are also detected. In addition, small amounts of H + O(3P) + CH2O are observed and attributed to O loss followed by CH3O dissociation. C2H5OO exhibits more complex dissociation dynamics, in which O loss and OH loss occur in roughly equivalent amounts with O(1D) formed as the dominant O atom electronic state via dissociation on a repulsive surface. Minor two-body channels leading to the formation of O2 + C2H5 and HO2 + C2H4 are also observed and attributed to a ground state dissociation pathway following internal conversion. Additionally, C2H5OO dissociation yields a three-body product channel, CH3 + O(3P) + CH2O, for which the proposed mechanism is repulsive O loss followed by the dissociation of C2H5O over a barrier. These results are compared to a recent study of tert-butyl peroxy (t-BuOO) in which 248 nm excitation results in three-body dissociatio n and ground state two-body dissociation but no O(1D) production.
Research Organization:
Lawrence Berkeley National Laboratory (LBNL), Berkeley, CA (United States)
Sponsoring Organization:
USDOE; USDOE Office of Science (SC), Basic Energy Sciences (BES) (SC-22)
Grant/Contract Number:
AC02-05CH11231
OSTI ID:
1435113
Alternate ID(s):
OSTI ID: 1418187
Journal Information:
Journal of Chemical Physics, Journal Name: Journal of Chemical Physics Journal Issue: 4 Vol. 148; ISSN 0021-9606
Publisher:
American Institute of Physics (AIP)Copyright Statement
Country of Publication:
United States
Language:
English

References (74)

The reaction between ethyl and molecular oxygen II: Further analysis journal January 2001
Predictive chemical kinetics: Density functional and hartree-fock calculations on free-radial reaction transition states journal November 1994
Fragments in the UV photolysis of the CH3 and CH3O2 radicals journal June 1993
Characterization of the potential energy surface for CH3+O2→products journal November 1993
A Gaussian-2 ab initio study of isomeric CH3O2 and CH3O2+ journal June 1994
Features of the potential energy surface for the CH3 + O2 reaction channels journal July 1994
An ab initio molecular orbital study of the CH3O2 and CH3O2+ potential energy surfaces journal March 1995
MRD CI study of the photodissociation of HO2 into OH(X2II) + O(3P, 1D) journal October 1985
Organic peroxy radicals: Kinetics, spectroscopy and tropospheric chemistry journal July 1992
Kinetics of elementary reactions in low-temperature autoignition chemistry journal August 2011
A theoretical analysis of the reaction between ethyl and molecular oxygen journal January 2000
Manifestations of Torsion-CH Stretch Coupling in the Infrared Spectrum of CH 3 OO journal February 2016
Modeling the CH Stretch/Torsion/Rotation Couplings in Methyl Peroxy (CH 3 OO) journal December 2017
UV absorption cross sections and reaction kinetics and mechanisms for peroxy radicals in the gas phase journal June 1992
Temperature and Pressure Dependence of the C2H4 Yield from the Reaction C2H5 + O2 journal January 1995
Alkylperoxy and alkyl radicals. 4. Matrix IR spectra and UV photolysis of ethylperoxy and ethyl radicals journal June 1987
Kinetics and mechanism of hydroxyl radical reaction with methyl hydroperoxide journal March 1989
Experimental and theoretical studies of the ethyl + oxygen reaction kinetics journal March 1990
The 248-nm photofragmentation of the peroxymethyl radical journal April 1990
Chemical activation analysis of the reaction of ethyl radical with oxygen journal April 1990
Alkylperoxy and alkyl radicals. 1. Infrared spectra of CH3O2 and CH3O4CH3 and the ultraviolet photolysis of CH3O2 in argon + oxygen matrixes journal May 1986
Absorption spectrum and rates of formation and decay of the methyldioxy radical journal January 1977
The Kinetics of the Recombination of Methyl Radicals and Iodine Atoms. journal June 1951
Aspects of the reaction mechanism of ethane combustion. Conformations of the ethylperoxy radical journal October 1992
Aspects of the Reaction Mechanism of Ethane Combustion. 2. Nature of the Intramolecular Hydrogen Transfer journal June 1994
Ground and lower excited states of methylperoxy radical, CH3O2: a computational investigation journal March 1990
Ab initio studies of the structures of peroxides and peroxy radicals journal May 1982
Negative-Ion Photoelectron Spectroscopy, Gas-Phase Acidity, and Thermochemistry of the Peroxyl Radicals CH 3 OO and CH 3 CH 2 OO journal October 2001
Energy-Resolved Photoionization of Alkylperoxy Radicals and the Stability of Their Cations journal October 2006
Addition of Peroxyl Radicals to Alkenes and the Reaction of Oxygen with Alkyl Radicals journal May 2000
The C 2 H 5 + O 2 Reaction Mechanism:  High-Level ab Initio Characterizations journal November 2000
Detailed Kinetics and Thermochemistry of C2H5 + O2:  Reaction Kinetics of the Chemically-Activated and Stabilized CH3CH2OO Adduct journal July 2002
First-Principles Dynamics along the Reaction Path of CH 3 CH 2 + O 2 → H 2 C=CH 2 + HOO:  Evidence for Vibronic State Mixing and Neutral Hydrogen Transfer journal October 2002
Measurements, Theory, and Modeling of OH Formation in Ethyl + O 2 and Propyl + O 2 Reactions journal June 2003
Measurements, Theory, and Modeling of OH Formation in Ethyl + O 2 and Propyl + O 2 Reactions journal August 2004
Detailed Modeling of the Reaction of C 2 H 5 + O 2 journal March 2005
New Scale Factors for Harmonic Vibrational Frequencies Using the B3LYP Density Functional Method with the Triple-ζ Basis Set 6-311+G(d,p) journal March 2005
Investigation of Ethyl Peroxy Radical Conformers via Cavity Ringdown Spectroscopy of the Ã-X̃ Electronic Transition journal February 2007
Photodissociation Dynamics of the Thiophenoxy Radical at 248, 193, and 157 nm journal May 2013
Photoelectron−Photofragment Coincidence Studies of the tert -Butoxide Anion (CH 3 ) 3 CO , the Carbanion Isomer (CH 3 ) 2 CH 2 COH , and Corresponding Radicals journal October 2014
Photodissociation spectroscopy and dynamics of CH 3 O and CD 3 O journal September 1997
Atmospheric chemistry of small organic peroxy radicals journal June 2001
Addition complex formation vs. direct abstraction in the OH+C2H4 reaction journal January 2000
In situ characterization of a cold and short pulsed molecular beam by femtosecond ion imaging journal January 2009
Flash photolysis study of the spectra of CH3O2 and C(CH3)3O2 radicals and the kinetics of their mutual reactions and with NO
  • Anastasi, Christopher; Smith, Ian W. M.; Parkes, David A.
  • Journal of the Chemical Society, Faraday Transactions 1: Physical Chemistry in Condensed Phases, Vol. 74, Issue 0 https://doi.org/10.1039/f19787401693
journal January 1978
Contribution à l’étude spectrographique de la séquence 0-2 de la transition A 2 Σ + — X 2 Π du radical OH journal January 1967
Ab initio study of the CH3+O2 reaction: Kinetics, mechanism and product branching probabilities journal July 2001
Reconstruction of Abel-transformable images: The Gaussian basis-set expansion Abel transform method journal July 2002
D atom loss in the photodissociation of the DNCN radical: Implications for prompt NO formation journal March 2007
Infrared absorption of gaseous CH3OO detected with a step-scan Fourier-transform spectrometer journal December 2007
High-resolution cavity ringdown spectroscopy of the jet-cooled ethyl peroxy radical C2H5O2 journal November 2009
A short pulse (7 μs FWHM) and high repetition rate (dc-5kHz) cantilever piezovalve for pulsed atomic and molecular beams journal November 2009
Two- and three-body photodissociation dynamics of diiodobromide (I 2 Br ) anion journal April 2011
The weakly exothermic rearrangement of methoxy radical (CH 3 O ) to the hydroxymethyl radical (CH 2 OH ) journal January 1983
Fast beam photodissociation of the CH 2 NO 2 radical journal December 1993
Vector correlation studies of HO 2 photodissociation at 220 nm journal January 1996
Fast beam photodissociation spectroscopy and dynamics of the vinoxy radical journal February 1997
Mechanism of the C2H5+O2 reaction journal July 1997
Photoelectron spectroscopy, gas phase acidity, and thermochemistry of tert -butyl hydroperoxide: Mechanisms for the rearrangement of peroxyl radicals journal December 1998
Detection and characterization of alkyl peroxy radicals using cavity ringdown spectroscopy journal June 2000
Investigation of 3-fragment photodissociation of O 3 at 193.4 and 157.6 nm by coincident measurements journal June 2014
Photodissociation dynamics of the methyl perthiyl radical at 248 and 193 nm using fast-beam photofragment translational spectroscopy journal July 2016
Investigation of the two- and three-fragment photodissociation of the tert -butyl peroxy radical at 248 nm journal October 2017
Examining the ground and first excited states of methyl peroxy radical with high-level coupled-cluster theory journal July 2015
Photo induced three body decay journal January 1997
A beam-modulated time-of-flight mass spectrometer. I. Theoretical considerations journal August 1973
A beam-modulated time-of-flight mass spectrometer. II. Experimental work journal May 1974
Fragmentation Dynamics of CO 2 3 + Investigated by Multiple Electron Capture in Collisions with Slow Highly Charged Ions journal March 2010
Multiple hit readout of a microchannel plate detector with a three-layer delay-line anode journal October 2002
Algorithm 448: number of multiply-restricted partitions journal June 1973
Hydrocarbon Bond Dissociation Energies journal October 1982
Examining the ground and first excited states of methyl peroxy radical with high-level coupled-cluster theory text January 2015
Examining the ground and first excited states of methyl peroxy radical with high-level coupled-cluster theory text January 2015
Examining the ground and first excited states of methyl peroxy radical with high-level coupled-cluster theory text January 2015

Cited By (1)

Photodissociation dynamics of the methylsulfinyl radical at 248 nm journal February 2019

Figures / Tables (11)


Similar Records

Photodissociation of iso-propoxy (i-C3H7O) radical at 248 nm
Journal Article · Sun Jul 26 20:00:00 EDT 2020 · Physical Chemistry Chemical Physics. PCCP · OSTI ID:1782158

Prompt release of O 1D products upon UV excitation of CH2OO Criegee intermediates
Journal Article · Sun Mar 12 20:00:00 EDT 2017 · Journal of Chemical Physics · OSTI ID:1465943