Skip to main content
U.S. Department of Energy
Office of Scientific and Technical Information

Chlorination of zirconium (0001) surface: A first-principles study

Journal Article ·
OSTI ID:1432261
 [1];  [2];  [3];  [4]
  1. Univ. of Nevada, Las Vegas, NV (United States). Department of Physics and Astronomy
  2. Sandia National Lab. (SNL-NM), Albuquerque, NM (United States)
  3. Univ. of Nevada, Las Vegas, NV (United States). Department of Chemistry
  4. Dept. of Energy (DOE), Washington DC (United States)
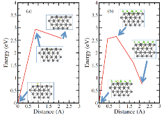
The mechanisms and energetics of Zr(0001) surface chlorination by dissociative adsorption of gaseous Cl2, and associated speciation and surface degradation processes, have been investigated within the framework of density functional theory. Chlorination of Zr(0001) is predicted to be exothermic by 3 eV/Cl for dissociative adsorption of a single Cl2 molecule, followed by exothermic chlorination to 1ML and 2 ML under Cl-rich conditions, with respective energy gains of 1.93 and 2.79 eV/Cl. Calculations also show that exfoliation of the top Cl-Zr-Cl sandwich layers is exothermic and most energetically favorable, and can thus be considered as a leading mechanism for Zr(0001) surface dissolution. Finally, consistent with experimental findings, formation of ZrCl4 molecular products is also found to be dominant during Zr(0001) chlorination.
Research Organization:
Sandia National Laboratories (SNL-NM), Albuquerque, NM (United States)
Sponsoring Organization:
USDOE National Nuclear Security Administration (NNSA); USDOE Office of Nuclear Energy (NE)
DOE Contract Number:
AC04-94AL85000
OSTI ID:
1432261
Report Number(s):
SAND--2016-12682J; 649961
Country of Publication:
United States
Language:
English

Figures / Tables (5)


Similar Records

Chlorination of zirconium (0001) surface: A first-principles study.
Program Document · Sat Dec 31 23:00:00 EST 2016 · OSTI ID:1429622

Adsorption of Chlorine on Zr(0001) Surface: First-Principles Predictions
Journal Article · Sat Jul 01 00:00:00 EDT 2017 · Transactions of the American Nuclear Society · OSTI ID:23047348