Skip to main content
U.S. Department of Energy
Office of Scientific and Technical Information

The Lyman-α power spectrum—CMB lensing convergence cross-correlation

Journal Article · · Journal of Cosmology and Astroparticle Physics
 [1];  [2]
  1. Stony Brook Univ., NY (United States)
  2. Brookhaven National Lab. (BNL), Upton, NY (United States)

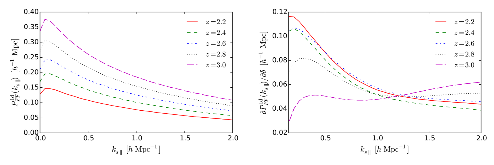
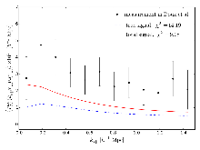
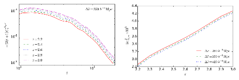
We investigate the three-point correlation between the Lyman-α forest and the CMB weak lensing (δFδFΚ) expressed as the cross-correlation between the CMB weak lensing field and local variations in the forest power spectrum. In addition to the standard gravitational bispectrum term, we note the existence of a non-standard systematic term coming from mis-estimation of the mean flux over the finite length of Lyman-α skewers. We numerically calculate the angular cross-power spectrum and discuss its features. We integrate it into zero-lag correlation function and compare our predictions with recent results by Doux et al.. We nd that our predictions are statistically consistent with the measurement, and including the systematic term improves the agreement with the measurement. We comment on the implication of the response of the Lyman-α forest power spectrum to the long-wavelength density perturbations.

Research Organization:
Brookhaven National Lab. (BNL), Upton, NY (United States)
Sponsoring Organization:
USDOE Office of Science (SC), High Energy Physics (HEP) (SC-25)
Grant/Contract Number:
SC0012704
OSTI ID:
1426439
Report Number(s):
BNL--203334-2018-JAAM
Journal Information:
Journal of Cosmology and Astroparticle Physics, Journal Name: Journal of Cosmology and Astroparticle Physics Journal Issue: 01 Vol. 2018; ISSN 1475-7516
Publisher:
Institute of Physics (IOP)Copyright Statement
Country of Publication:
United States
Language:
English

References (6)

Towards physics responsible for large-scale Lyman-α forest bias parameters journal March 2016
First Detection of Cosmic Microwave Background Lensing and Lyman-α Forest Bispectrum text January 2016
Large-scale structure of the Universe and cosmological perturbation theory journal September 2002
Planck 2015 results : XIII. Cosmological parameters journal September 2016
Simulating the effect of high column density absorbers on the one-dimensional Lyman α forest flux power spectrum journal November 2017
First detection of cosmic microwave background lensing and Lyman- α forest bispectrum journal November 2016

Cited By (2)

Scale-dependent bias and bispectrum in neutrino separate universe simulations journal June 2018
Scale-dependent bias and bispectrum in neutrino separate universe simulations text January 2017

Figures / Tables (7)


Similar Records

Bias of damped Lyman-α systems from their cross-correlation with CMB lensing
Journal Article · Fri Apr 20 00:00:00 EDT 2018 · Journal of Cosmology and Astroparticle Physics · OSTI ID:1440887

First detection of cosmic microwave background lensing and Lyman-α forest bispectrum
Journal Article · Tue Nov 08 23:00:00 EST 2016 · Physical Review. D. · OSTI ID:1398395

Response approach to the squeezed-limit bispectrum: application to the correlation of quasar and Lyman-α forest power spectrum
Journal Article · Thu Jun 01 00:00:00 EDT 2017 · Journal of Cosmology and Astroparticle Physics · OSTI ID:22676164