Skip to main content
U.S. Department of Energy
Office of Scientific and Technical Information

A combined experimental and computational study of the mechanism of fructose dehydration to 5-hydroxymethylfurfural in dimethylsulfoxide using Amberlyst 70, PO43- /niobic acid, or sulfuric acid catalysts

Journal Article · · Applied Catalysis B: Environmental
 [1];  [1];  [2];  [2];  [1]
  1. Northwestern Univ., Evanston, IL (United States)
  2. Argonne National Lab. (ANL), Argonne, IL (United States)

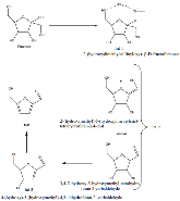
We report on a combined experimental and theoretical study of the acid catalyzed dehydration of d-fructose in dimethylsulfoxide (DMSO) using; Amberlyst 70, PO43–/niobic acid, and sulfuric acid as catalysts. The reaction has been studied and intermediates characterized using; 13C, 1H, and 17O NMR, and high resolution electrospray ionization mass spectrometry (HR ESI–MS). High level G4MP2 theory calculations are used to understand the thermodynamic landscape for the reaction mechanism in DMSO. We have experimentally identified two key intermediates in the dehydration of fructose to form HMF that were also identified, using theory, as local minima on the potential surface for reaction. A third intermediate, a species capable of undergoing keto–enol tautomerism, was also experimentally detected. However, it was not possible to experimentally distinguish between the keto and the enol forms. These data with different catalysts are consistent with common intermediates along the reaction pathway from fructose to HMF in DMSO. Lastly, the role of oxygen in producing acidic species in reactions carried out in DMSO in presence of air is also discussed.

Research Organization:
Energy Frontier Research Centers (EFRC) (United States). Institute for Atom-efficient Chemical Transformations (IACT)
Sponsoring Organization:
USDOE Office of Science (SC), Basic Energy Sciences (BES) (SC-22)
Grant/Contract Number:
AC02-06CH11357; AC02-05CH11231
OSTI ID:
1370175
Alternate ID(s):
OSTI ID: 1358760
OSTI ID: 1248733
Journal Information:
Applied Catalysis B: Environmental, Journal Name: Applied Catalysis B: Environmental Journal Issue: C Vol. 181; ISSN 0926-3373
Publisher:
ElsevierCopyright Statement
Country of Publication:
United States
Language:
English

References (53)

Liquid-Phase Catalytic Processing of Biomass-Derived Oxygenated Hydrocarbons to Fuels and Chemicals journal September 2007
Two-dimensional NMR spectral study of the tautomeric equilibria ofD-fructose and related compounds journal April 1990
The Conversion of Fructose and Glucose in Acidic Media Formation of Hydroxymethylfurfural journal January 1986
5-Hydroxymethylfurfural (HMF). A Review Focussing on its Manufacture journal January 1990
Mechanism of formation of 5-(hydroxymethyl)-2-furaldehyde from d-fructose and sucrose journal May 1990
Structural applications of one-bond carboncarbon spin—spin coupling constants journal January 1989
Development of a continuous catalytic heterogeneous column reactor with simultaneous extraction of an intermediate product by an organic solvent circulating in countercurrent manner with the aqueous phase journal June 1995
Activated carbon as a support for heteropolyanion catalysts journal January 1992
Dehydration of fructose to 5-hydroxymethylfurfural over H-mordenites journal October 1996
Catalytic activity of lanthanoide(III) ions for dehydration of d-glucose to 5-(hydroxymethyl) furfural journal October 1996
Selective dehydration of glucose to hydroxymethylfurfural and a one-pot synthesis of a 4-acetylbutyrolactone from glucose and trioxane in solutions of aluminium salts journal February 1999
La mutarotation du β-D-fructose en milieu acide dans le dimethylsulfoxyde journal January 1982
Selective saccharides dehydration to 5-hydroxymethyl-2-furaldehyde by heterogeneous niobium catalysts journal July 1999
Heterogeneous zirconium and titanium catalysts for the selective synthesis of 5-hydroxymethyl-2-furaldehyde from carbohydrates journal February 2000
Acid sites characterization of niobium phosphate catalysts and their activity in fructose dehydration to 5-hydroxymethyl-2-furaldehyde journal February 2000
Dehydration of fructose into 5-hydroxymethylfurfural in the presence of ionic liquids journal October 2003
Heterogeneous catalysts based on vanadyl phosphate for fructose dehydration to 5-hydroxymethyl-2-furaldehyde journal November 2004
Catalytic glucose and fructose conversions with TiO2 and ZrO2 in water at 473K: Relationship between reactivity and acid–base property determined by TPD measurement journal November 2005
Comprehensive IR study on acid/base properties of metal oxides journal August 2012
Efficient dehydration of fructose to 5-hydroxymethylfurfural catalyzed by a recyclable sulfonated organic heteropolyacid salt journal February 2012
Glucose reactions with acid and base catalysts in hot compressed water at 473K journal September 2005
Mechanism of the dehydration of d-fructose to 5-hydroxymethylfurfural in dimethyl sulfoxide at 150°C: an NMR study journal December 2008
Preparation of 5-hydroymethylfurfural by dehydration of fructose in the presence of acidic ionic liquid journal March 2008
Efficient selective dehydration of fructose and sucrose into 5-hydroxymethylfurfural (HMF) using dicationic room temperature ionic liquids as a catalyst journal May 2012
Improving stability of Nb2O5 catalyst in fructose dehydration reaction in water solvent by ion-doping journal September 2012
The effect of solvent addition on fructose dehydration to 5-hydroxymethylfurfural in biphasic system over zeolites journal March 2012
Direct conversion and NMR observation of cellulose to glucose and 5-hydroxymethylfurfural (HMF) catalyzed by the acidic ionic liquids journal January 2011
Unsaturated O - and N -Heterocycles from Carbohydrate Feedstocks journal September 2002
Chemical Routes for the Transformation of Biomass into Chemicals journal June 2007
An in Situ NMR Study of the Mechanism for the Catalytic Conversion of Fructose to 5-Hydroxymethylfurfural and then to Levulinic Acid Using 13 C Labeled d -Fructose journal April 2012
Comparison of Sugar Molecule Decomposition through Glucose and Fructose: A High-Level Quantum Chemical Study journal January 2012
Acid-Catalyzed Production of 5-Hydroxymethyl Furfural from d -Fructose in Subcritical Water journal March 2006
Kinetics of the Decomposition of Fructose Catalyzed by Hydrochloric Acid in Subcritical Water:  Formation of 5-Hydroxymethylfurfural, Levulinic, and Formic Acids journal November 2007
Three-Bond C−O−C−C Spin-Coupling Constants in Carbohydrates:  Development of a Karplus Relationship journal November 1998
Isotope Labeling Studies on the Formation of 5-(Hydroxymethyl)-2-furaldehyde (HMF) from Sucrose by Pyrolysis-GC/MS journal August 2008
Chemistry of epoxides. XXXII. Acid catalysis in dimethyl sulfoxide reactions. A generally unrecognized factor journal August 1976
Carbocation-Forming Reactions in Dimethyl Sulfoxide journal February 2003
Computational Studies of the Thermochemistry for Conversion of Glucose to Levulinic Acid journal July 2010
Mechanistic Insights into the Decomposition of Fructose to Hydroxy Methyl Furfural in Neutral and Acidic Environments Using High-Level Quantum Chemical Methods journal April 2011
Solvent Effect on Pathways and Mechanisms for d -Fructose Conversion to 5-Hydroxymethyl-2-furaldehyde: In Situ 13 C NMR Study journal March 2013
Universal Solvation Model Based on Solute Electron Density and on a Continuum Model of the Solvent Defined by the Bulk Dielectric Constant and Atomic Surface Tensions
  • Marenich, Aleksandr V.; Cramer, Christopher J.; Truhlar, Donald G.
  • The Journal of Physical Chemistry B, Vol. 113, Issue 18, p. 6378-6396 https://doi.org/10.1021/jp810292n
journal May 2009
Production of dimethylfuran for liquid fuels from biomass-derived carbohydrates journal June 2007
5-Hydroxymethylfurfural (HMF) as a building block platform: Biological properties, synthesis and synthetic applications journal January 2011
Molecular mapping of the acid catalysed dehydration of fructose journal January 2012
Experimental and theoretical studies of the acid-catalyzed conversion of furfuryl alcohol to levulinic acid in aqueous solution journal January 2012
183. The conversion of sucrose into furan compounds. Part I. 5-Hydroxymethylfurfuraldehyde and some derivatives journal January 1944
Gaussian-4 theory using reduced order perturbation theory journal September 2007
Phase Modifiers Promote Efficient Production of Hydroxymethylfurfural from Fructose journal June 2006
Metal Chlorides in Ionic Liquid Solvents Convert Sugars to 5-Hydroxymethylfurfural journal June 2007
Valorization of Biomass: Deriving More Value from Waste journal August 2012
Catalytic Activity of Lanthanide(III) Ions for the Dehydration of Hexose to 5-Hydroxymethyl-2-furaldehyde in Water journal June 2001
An Improved Method for the Conversion of Saccharides into Furfural Derivatives journal May 1982
Highly Efficient Catalytic Activity of Lanthanide(III) Ions for Conversion of Saccharides to 5-Hydroxymethyl-2-furfural in Organic Solvents journal January 2000

Cited By (6)

Efficient conversion of fructose to 5‐hydroxymethylfurfural by functionalized γ‐Al 2 O 3 beads journal February 2019
Acidic Zeolite L as a Highly Efficient Catalyst for Dehydration of Fructose to 5-Hydroxymethylfurfural in Ionic Liquid journal March 2017
Examining Acid Formation During the Selective Dehydration of Fructose to 5‐Hydroxymethylfurfural in Dimethyl Sulfoxide and Water journal April 2019
Highly Selective Conversion of HMF to 1‐hydroxy‐ 2,5‐hexanedione on Pd/MIL‐101(Cr) journal October 2019
Solvent-enabled control of reactivity for liquid-phase reactions of biomass-derived compounds journal February 2018
Universal kinetic solvent effects in acid-catalyzed reactions of biomass-derived oxygenates journal January 2018

Figures / Tables (12)