Skip to main content
U.S. Department of Energy
Office of Scientific and Technical Information

Thermoset Blends of an Epoxy Resin and Polydicyclopentadiene

Journal Article · · Macromolecules

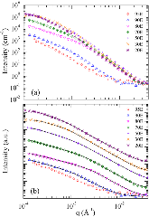
In this work, the mechanical properties of two chemically distinct and complementary thermoset polymers were manipulated through development of thermoset blends. The thermoset blend system was composed of an anhydride-cured diglycidyl ether of bisphenol A (DGEBA)-based epoxy resin, contributing high tensile strength and modulus, and polydicyclopentadiene (PDCPD), which has a higher toughness and impact strength as compared to other thermoset polymers. Ultra-small-angle and small-angle X-ray scattering analysis explored the morphology of concurrently cured thermoset blends, revealing a macroscopically phase separated system with a surface fractal structure across blended systems of varying composition. The epoxy resin rich and PDCPD rich phases exhibited distinct glass transitions (Tg’s): the Tg observed at higher temperature was associated with the epoxy resin rich phase and was largely unaffected by the presence of PDCPD, whereas the PDCPD rich phase Tg systematically decreased with increasing epoxy resin content due to inhibition of dicyclopentadiene ring-opening metathesis polymerization. The mechanical properties of these phase-separated blends were in reasonable agreement with predictions by the rule of mixtures for the blend tensile strength, modulus, and fracture toughness. Scanning electron microscopy analysis of the tensile and fracture specimen fracture surfaces showed an increase in energy dissipation mechanisms, such as crazing, shear banding, and surface roughness, as the fraction of the more ductile component, PDPCD, increased. These results present a facile method to tune the mechanical properties of a toughened thermoset network, in which the high modulus and tensile strength of the epoxy resin can be largely retained at high epoxy resin content in the blend, while increasing the fracture toughness.

Research Organization:
Argonne National Laboratory (ANL), Argonne, IL (United States). Advanced Photon Source (APS)
Sponsoring Organization:
USDOE Office of Science (SC); National Science Foundation (NSF); Norman Hackerman Advanced Research Program; Texas Space Grant Consortium
Grant/Contract Number:
AC02-06CH11357
OSTI ID:
1337189
Journal Information:
Macromolecules, Journal Name: Macromolecules Journal Issue: 23 Vol. 49; ISSN 0024-9297
Publisher:
American Chemical SocietyCopyright Statement
Country of Publication:
United States
Language:
ENGLISH

References (57)

Rigid interpenetrating polymer network foams prepared from a rosin-based polyurethane and an epoxy resin journal July 1998
Epoxy/castor oil graft interpenetrating polymer networks journal November 1998
Determination of fracture toughness of epoxy using fractography journal April 1999
The Current Status of Interpenetrating Polymer Networks journal April 1996
Computer simulation of conic-shaped patterns on fracture surfaces of polymers journal May 2003
Compatibilization of Polymer Blends journal December 2002
Mechanical properties and fracture behaviors of epoxy composites with phase-separation formed liquid rubber and preformed powdered rubber nanoparticles: A comparative study journal April 2014
Effects of particle size and rubber content on fracture toughness in rubber-modified epoxies journal March 1996
Effect of rubber particle size on deformation mechanisms in glassy epoxy journal January 1973
Compatible glassy polyblends based upon poly(2,6-dimethyl-1,4-phenylene oxide): Tensile modulus studies journal May 1979
Compatibilizing agents in polymer blends: Interfacial tension, phase morphology, and mechanical properties journal July 1993
Toughening of epoxy resin systems using low-viscosity additives journal December 2003
Polymer nanocomposites journal January 2007
Phase-Separated Interpenetrating Polymer Networks book January 2007
Failure of brittle polymers by slow crack growth: Part 1 Crack propagation in polymethylmethacrylate and time-to-failure predictions journal August 1975
Failure of brittle polymers by slow crack growth: Part 2 Failure processes in a silica particle-filled epoxy resin composite journal August 1975
Failure of brittle polymers by slow crack growth: Part 3 Effect of composition upon the fracture of silica particle-filled epoxy resin composites journal April 1977
Fracture mechanisms in rigid core-shell particle modified high performance epoxies journal April 1996
Rubber-toughened epoxy loaded with carbon nanotubes: structure–property relationships journal January 2010
Toughening of epoxy using core–shell particles journal August 2010
Ultra-Small-Angle X-ray Scattering Instrument at the Advanced Photon Source: History, Recent Development, and Current Status journal October 2012
Theoretical prediction of domain sizes in IPN's and related materials journal March 1983
Effect of particle size on fracture toughness of epoxy resin filled with angular-shaped silica journal January 1991
Block copolymers at interfaces journal March 1991
Fractography Basics book January 2015
Strategies for compatibilization of polymer blends journal January 1998
Crack velocity dependent toughness in rate dependent materials journal November 2000
Self-healing structural composite materials journal August 2003
Ring-opening metathesis polymerization of dicyclopentadiene catalyzed by a polymer-supported tungsten catalyst journal August 1997
Strain rate effect on toughening of nano-sized PEP–PEO block copolymer modified epoxy journal May 2009
Effects of particle size, particle/matrix interface adhesion and particle loading on mechanical properties of particulate–polymer composites journal September 2008
Multiscale micromechanical modeling of polymer/clay nanocomposites and the effective clay particle journal January 2004
Toughening mechanisms of nanoparticle-modified epoxy polymers journal January 2007
Polymer nanotechnology: Nanocomposites journal July 2008
Effect of crosslink density on fracture behavior of model epoxies containing block copolymer nanoparticles journal September 2009
Toughening mechanisms in epoxy–silica nanocomposites (ESNs) journal September 2009
The toughening mechanism in hybrid epoxy-silica-rubber nanocomposites (HESRNs) journal October 2010
Fracture and fatigue response of a self-healing epoxy adhesive journal March 2011
Failure mechanisms in polyolefines: The role of crazing, shear yielding and the entanglement network journal June 2011
Concurrent curing kinetics of an anhydride-cured epoxy resin and polydicyclopentadiene journal July 2015
Toughness Enhancement in ROMP Functionalized Carbon Nanotube/Polydicyclopentadiene Composites journal October 2008
Curing Kinetics and Mechanical Properties of endo -Dicyclopentadiene Synthesized Using Different Grubbs’ Catalysts journal February 2014
Morphological and Mechanical Evaluation of Hybrid Organic−Inorganic Thermoset Copolymers of Dicyclopentadiene and Mono- or Tris(norbornenyl)-Substituted Polyhedral Oligomeric Silsesquioxanes journal February 2004
A study of polymer fracture surface features and their relationship to toughness journal January 1999
Toughening of a brittle thermosetting polymer: Effects of reinforcement particle size and volume fraction journal January 2002
The conflicts between strength and toughness journal October 2011
Understanding fast macroscale fracture from microcrack post mortem patterns journal December 2011
Irena : tool suite for modeling and analysis of small-angle scattering journal February 2009
Ultra-small-angle X-ray scattering at the Advanced Photon Source journal April 2009
A new Guinier–Porod model journal May 2010
High-resolution small-angle X-ray scattering camera for anomalous scattering journal February 1991
New Fatigue Data for Wind Turbine Blade Materials journal November 2003
Comparison of Tensile Fatigue Resistance and Constant Life Diagrams for Several Potential Wind Turbine Blade Laminates journal January 2009
Nanocomposites: Structure, Phase Behavior, and Properties journal June 2010
Composite Materials for wind Power Turbine Blades journal August 2005
Materials Challenges in Present and Future Wind Energy journal April 2008
Mechanical Behavior of Particle Filled Elastomers journal September 1999

Cited By (5)

Supported Ionic Liquid Silica as Curing Agent for Epoxy Composites with Improved Mechanical and Thermal Properties journal September 2017
High‐toughness, environment‐friendly solid epoxy resins: Preparation, mechanical performance, curing behavior, and thermal properties journal October 2019
Bond behavior of epoxy resin–polydicyclopentadiene phase separated interpenetrating networks for adhering carbon fiber reinforced polymer to steel journal October 2019
Recyclable thermoset hyperbranched polymers containing reversible hexahydro-s-triazine journal December 2019
Effect of Doping Microcapsules on Typical Electrical Performances of Self-Healing Polyethylene Insulating Composite journal July 2019

Figures / Tables (9)


Similar Records

Nanostructured Thermoset/Thermoset Blends Compatibilized with an Amphiphilic Block Copolymer
Journal Article · Mon Apr 01 00:00:00 EDT 2019 · Macromolecules · OSTI ID:1531174

Morphology development of rubber-modified epoxy thermosets
Conference · Mon Dec 30 23:00:00 EST 1996 · OSTI ID:441492

High T{sub g} and fast curing epoxy-based anisotropic conductive paste for electronic packaging
Journal Article · Tue Mar 08 23:00:00 EST 2016 · AIP Conference Proceedings · OSTI ID:22589319