Skip to main content
U.S. Department of Energy
Office of Scientific and Technical Information

Bridging soft-hard transport properties of quark-gluon plasmas with CUJET3.0

Journal Article · · Journal of High Energy Physics (Online)
 [1];  [2];  [1]
  1. Columbia Univ., New York, NY (United States)
  2. Indiana Univ., Bloomington, IN (United States); Brookhaven National Lab. (BNL), Upton, NY (United States)
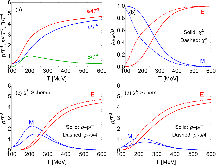
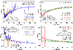
A new model (CUJET3.0) of jet quenching in nuclear collisions coupled to bulk data constrained (VISH2+1D) viscous hydrodynamic backgrounds is constructed by generalizing the perturbative QCD based (CUJET2.0) model to include two complementary non-perturbative chromodynamical features of the QCD con_nement cross-over phase transition near Tc ≈ 160 MeV: (1) the suppression of quark and gluon chromo-electric-charged (cec) degrees of freedom and (2) the emergence of chromo-magnetic-monopole (cmm) degrees of freedom. Such a semi Quark Gluon Monopole Plasma (sQGMP) microscopic scenario is tested by comparing predictions of the leading hadron nuclear modification factors, RAAh (pT > 10GeV=c;√s), and their azimuthal elliptic asymmetry v2h (pT > 10GeV=c;√s) with available data on h =π, D;B jet fragments from nuclear collisions at RHIC (√s = 0.2 ATeV) and LHC(√s = 2.76 ATeV). The cmm degrees of freedom in the sQGMP model near Tc are shown to solve robustly the long standing RAA vs v2 puzzle by predicting a maximum of the jet quenching parameter field g(E; T)/T3 near Tc. The robustness of CUJET3.0 model to a number of theoretical uncertainties is critically tested. Moreover the consistency of jet quenching with observed bulk perfect uidity is demonstrated by extrapolating the sQGMP qˆ down to thermal energy E ~ 3T scales and showing that the sQGMP shear viscosity to entropy density ratio η/s ≈ T3/qˆ falls close to the unitarity bound, 1/4π, in the range (1–2)Tc. Detailed comparisons of the CUJET2.0 and CUJET3.0 models reveal the fact that remarkably different qˆ(T) dependence could be consistent with the same RAA data and could only be distinguished by anisotropy observables. Furthermore, these findings demonstrate clearly the inadequacy of focusing on the jet path averaged quantity as the only relevant medium property to characterize jet quenching, and point to the crucial roles of other essential factors beyond just the , such as the chromo electric and magnetic composition of the plasma, the screening masses and the running couplings at multiple scales which all strongly influence jet energy loss.
Research Organization:
Brookhaven National Laboratory (BNL), Upton, NY (United States). Riken BNL Research Center
Sponsoring Organization:
USDOE Office of Science (SC), High Energy Physics (HEP) (SC-25)
OSTI ID:
1335485
Alternate ID(s):
OSTI ID: 22598344
Report Number(s):
BNL--112167-2016-JA
Journal Information:
Journal of High Energy Physics (Online), Journal Name: Journal of High Energy Physics (Online) Journal Issue: 2 Vol. 2016; ISSN 1029-8479
Publisher:
Springer BerlinCopyright Statement
Country of Publication:
United States
Language:
English

References (151)

1 Introduction book April 2004
Fluctuations of conserved charges at finite temperature from lattice QCD journal January 2012
Conserved charge fluctuations and susceptibilities in strongly interacting matter journal June 2013
Azimuthal jet flavor tomography with CUJET2.0 of nuclear collisions at RHIC and LHC journal August 2014
Constraints on the path-length dependence of jet quenching in nuclear collisions at RHIC and LHC journal August 2014
The non-linear evolution of jet quenching journal October 2014
Dilepton and photon production in the presence of a nontrivial Polyakov loop journal October 2015
II. Vortices and quark confinement in non-Abelian gauge theories journal February 1976
Viscosity coefficient of the quark-gluon plasma in the weak coupling limit journal October 1991
High-energy scattering of protons by nuclei journal January 1970
Quark confinement and topology of gauge theories journal March 1977
Topology of the gauge condition and new confinement phases in non-abelian gauge theories journal October 1981
Transport coefficients of QCD matter journal January 1985
Multiple collisions and induced gluon bremsstrahlung in QCD journal June 1994
Electric-magnetic duality, monopole condensation, and confinement in N=2 supersymmetric Yang-Mills theory journal September 1994
Monopoles, duality and chiral symmetry breaking in N = 2 supersymmetric QCD journal December 1994
QCD forces and heavy quark bound states journal March 2001
Multiple parton scattering in nuclei: parton energy loss journal December 2001
Saturation of elliptic flow and the transport opacity of the gluon plasma at RHIC journal January 2002
Fragmentation functions for pions, kaons, and protons at next-to-leading order journal August 2000
Gluon radiation off hard quarks in a nuclear environment: opacity expansion journal November 2000
Reaction operator approach to non-abelian energy loss journal January 2001
Quark damping and energy loss in the high temperature QCD journal March 1991
Radiative energy loss of high energy quarks and gluons in a finite-volume quark-gluon plasma journal January 1997
Medium-induced radiative energy loss; equivalence between the BDMPS and Zakharov formalisms journal October 1998
Jet quenching in thin quark–gluon plasmas I: formalism journal April 2000
The iEBE-VISHNU code package for relativistic heavy-ion collisions journal February 2016
Heavy quark radiative energy loss in QCD matter journal March 2004
What RHIC experiments and theory tell us about properties of quark–gluon plasma? journal March 2005
New forms of QCD matter discovered at RHIC journal March 2005
Perfect fluidity of the quark–gluon plasma core as seen through its dissipative hadronic corona journal April 2006
Elastic, inelastic, and path length fluctuations in jet tomography journal March 2007
A running coupling explanation of the surprising transparency of the QGP at LHC journal May 2013
Radiative -broadening of high-energy quarks and gluons in QCD matter journal October 2013
Renormalization of the jet-quenching parameter journal September 2014
The tricky azimuthal dependence of jet quenching at RHIC and LHC via CUJET2.0 journal December 2014
Renormalization of the jet-quenching parameter journal November 2014
On the baryonic density and susceptibilities in a holographic model of QCD journal November 2009
Confronting current NLO parton fragmentation functions with inclusive charged-particle spectra at hadron colliders journal June 2014
How does transverse (hydrodynamic) flow affect jet-broadening and jet-quenching? journal May 2007
Hydrodynamic elliptic and triangular flow in Pb–Pb collisions at sNN=2.76A TeV journal January 2012
Measurement of the pseudorapidity and transverse momentum dependence of the elliptic flow of charged particles in lead–lead collisions at sNN=2.76 TeV with the ATLAS detector journal February 2012
Generalization of radiative jet energy loss to non-zero magnetic mass journal March 2012
Anisotropic flow of charged hadrons, pions and (anti-)protons measured at high transverse momentum in Pb–Pb collisions at sNN=2.76 TeV journal February 2013
Centrality dependence of charged particle production at large transverse momentum in Pb–Pb collisions at sNN=2.76 TeV journal March 2013
Full result for the QCD equation of state with 2+1 flavors journal March 2014
Collisional energy loss above the critical temperature in QCD journal March 2014
Geometrical aspects of jet quenching in JEWEL journal July 2014
Toward a solution to the R AA and v 2 puzzle for heavy quarks journal July 2015
Quark confinement: Dual superconductor picture based on a non-Abelian Stokes theorem and reformulations of Yang–Mills theory journal May 2015
Matter in extremis: ultrarelativistic nuclear collisions at RHIC journal April 2005
Consistency of Perfect Fluidity and Jet Quenching in Semi-Quark-Gluon Monopole Plasmas journal August 2015
Photon and gluon emission in relativistic plasmas journal June 2002
Effective kinetic theory for high temperature gauge theories journal January 2003
Transport coefficients in high temperature gauge theories, 2. Beyond leading log journal May 2003
Wilson loops in heavy ion collisions and their calculation in AdS/CFT journal March 2007
Fluctuations of conserved charges at finite temperature from lattice QCD journal April 2013
Quantised Singularities in the Electromagnetic Field journal September 1931
Azimuthal asymmetry at large p t seem to be too large for a pure “jet quenching” journal August 2002
Strongly coupled plasma with electric and magnetic charges journal May 2007
Jet modification in three dimensional fluid dynamics at next-to-leading twist journal October 2007
Conformal relativistic viscous hydrodynamics: Applications to RHIC results at s NN = 200 GeV journal September 2008
Neutral pion production in Au + Au collisions at s NN = 200 GeV journal October 2009
Hadron spectra and elliptic flow for 200  A GeV Au + Au collisions from viscous hydrodynamics coupled to a Boltzmann cascade journal May 2011
Collision energy dependence of viscous hydrodynamic flow in relativistic heavy-ion collisions journal May 2012
Neutral pion production with respect to centrality and reaction plane in Au+Au collisions at s NN = 200 GeV journal March 2013
Hard probe of geometry and fluctuations in heavy ion collisions at s N N = 0.2 , 2.76, and 5.5 TeV journal January 2014
Extracting the jet transport coefficient from jet quenching in high-energy heavy-ion collisions journal July 2014
Azimuthal anisotropy of D -meson production in Pb-Pb collisions at s N N = 2.76 TeV journal September 2014
Implications of exact SUSY gauge couplings for QCD journal January 1999
Reaction operator approach to multiple elastic scatterings journal July 2002
Calculating quenching weights journal July 2003
Lattice calculation of gluon screening masses journal January 2004
Medium-induced gluon radiation off massive quarks fills the dead cone journal June 2004
Testing the color charge and mass dependence of parton energy loss with heavy-to-light ratios at BNL RHIC and CERN LHC journal March 2005
What do lattice baryonic susceptibilities tell us about quarks, diquarks, and baryons at T > T c ? journal January 2006
Effective theory of Wilson lines and deconfinement journal December 2006
Radiative Energy Loss in a Finite Dynamical QCD Medium journal July 2008
The Magnetic Component of Quark-Gluon Plasma is also a Liquid journal October 2008
Suppression Pattern of Neutral Pions at High Transverse Momentum in Au + Au Collisions at s N N = 200     GeV and Constraints on Medium Transport Coefficients journal December 2008
Angular Dependence of Jet Quenching Indicates Its Strong Enhancement near the QCD Phase Transition journal May 2009
Transport Coefficients of Hadronic Matter Near T c journal October 2009
200 A GeV Au + Au Collisions Serve a Nearly Perfect Quark-Gluon Liquid journal May 2011
Influence of Shear Viscosity of Quark-Gluon Plasma on Elliptic Flow in Ultrarelativistic Heavy-Ion Collisions journal May 2011
Jet Flavor Tomography of Quark Gluon Plasmas at RHIC and LHC journal January 2012
Azimuthal Anisotropy of Charged Particles at High Transverse Momenta in Pb-Pb Collisions at s N N = 2.76     TeV journal July 2012
Effect of Light Fermions on the Confinement Transition in QCD-Like Theories journal October 2012
Suppression of the High- p T Charged-Hadron R A A at the LHC journal November 2012
Event-by-Event Anisotropic Flow in Heavy-ion Collisions from Combined Yang-Mills and Viscous Fluid Dynamics journal January 2013
Next-to-Leading Order QCD Factorization for Semi-Inclusive Deep Inelastic Scattering at Twist 4 journal March 2014
Production and Elliptic Flow of Dileptons and Photons in a Matrix Model of the Quark-Gluon Plasma journal February 2015
Transport Coefficients in Yang-Mills Theory and QCD journal September 2015
Importance of the Bulk Viscosity of QCD in Ultrarelativistic Heavy-Ion Collisions journal September 2015
Quark-number susceptibility of high-temperature QCD journal November 1987
Multiple Scattering, Parton Energy Loss, and Modified Fragmentation Functions in Deeply Inelastic eA Scattering journal October 2000
High- p T Tomography of d + A u and A u + A u at SPS, RHIC, and LHC journal December 2002
Midrapidity Neutral-Pion Production in Proton-Proton Collisions at s = 200     G e V journal December 2003
Measuring the Collective Flow with Jets journal December 2004
Viscosity in Strongly Interacting Quantum Field Theories from Black Hole Physics journal March 2005
QCD Predictions for Charm and Bottom Quark Production at RHIC journal September 2005
Calculating the Jet Quenching Parameter journal November 2006
Magnetic Component of Yang-Mills Plasma journal February 2007
Small Shear Viscosity of a Quark-Gluon Plasma Implies Strong Jet Quenching journal November 2007
Radiative energy loss of high-energy quarks in finite-size nuclear matter and quark-gluon plasma journal April 1997
Parton energy loss in an expanding quark-gluon plasma: Radiative vs. collisional journal December 2007
Jet quenching with running coupling including radiative and collisional energy losses journal February 2008
Radiative parton energy loss in an expanding quark-gluon plasma with magnetic monopoles journal May 2015
Study of high-p T charged particle suppression in PbPb compared to pp collisions at $\sqrt{s_{\mathrm{NN}}}=2.76~\mathrm{TeV}$ journal March 2012
Energy dependence of the transverse momentum distributions of charged particles in pp collisions measured by ALICE journal December 2013
First Results from Pb+Pb Collisions at the LHC journal November 2012
Energy Loss in Perturbative QCD journal December 2000
The iEBE-VISHNU code package for relativistic heavy-ion collisions dataset January 2019
The iEBE-VISHNU code package for relativistic heavy-ion collisions dataset January 2019
Parton energy loss in an expanding quark-gluon plasma: Radiative vs collisional text January 2007
Radiative energy loss in a finite dynamical QCD medium text January 2008
Angular Dependence of Jet Quenching Indicates Its Strong Enhancement Near the QCD Phase Transition text January 2008
On the Baryonic Density and Susceptibilities in a Holographic Model of QCD text January 2009
Hadron spectra and elliptic flow for 200 A GeV Au+Au collisions from viscous hydrodynamics coupled to a Boltzmann cascade text January 2011
Generalization of radiative jet energy loss to non-zero magnetic mass text January 2011
Measurement of the pseudorapidity and transverse momentum dependence of the elliptic flow of charged particles in lead-lead collisions at sqrt(s_NN) = 2.76 TeV with the ATLAS detector text January 2011
Hydrodynamic elliptic and triangular flow in Pb-Pb collisions at sqrt(s)=2.76ATeV text January 2011
Collision Energy Dependence of Viscous Hydrodynamic Flow in Relativistic Heavy-Ion Collisions text January 2012
Radiative pT-broadening of high-energy quarks and gluons in QCD matter text January 2013
Energy Dependence of the Transverse Momentum Distributions of Charged Particles in pp Collisions Measured by ALICE text January 2013
Next-to-Leading QCD Factorization for Semi-Inclusive Deep Inelastic Scattering at Twist-4 text January 2013
Confronting current NLO parton fragmentation functions with inclusive charged-particle spectra at hadron colliders text January 2013
Geometrical aspects of jet quenching in JEWEL text January 2013
Azimuthal jet flavor tomography with CUJET2.0 of nuclear collisions at RHIC and LHC text January 2014
The non-linear evolution of jet quenching text January 2014
Renormalization of the jet-quenching parameter text January 2014
Quark confinement: dual superconductor picture based on a non-Abelian Stokes theorem and reformulations of Yang-Mills theory text January 2014
The iEBE-VISHNU code package for relativistic heavy-ion collisions preprint January 2014
Consistency of Perfect Fluidity and Jet Quenching in semi-Quark-Gluon Monopole Plasmas text January 2014
The importance of the bulk viscosity of QCD in ultrarelativistic heavy-ion collisions text January 2015
Toward a solution to the $R_{AA}$ and $v_2$ puzzle for heavy quarks text January 2015
QCD forces and heavy quark bound states text January 2000
Multiple Scattering, Parton Energy Loss and Modified Fragmentation Functions in Deeply Inelastic eA Scattering text January 2000
Multiple Parton Scattering in Nuclei: Parton Energy Loss text January 2001
Photon and Gluon Emission in Relativistic Plasmas text January 2002
Calculating Quenching Weights text January 2003
Matter in extremis: ultrarelativistic nuclear collisions at RHIC text January 2004
QCD Predictions for Charm and Bottom Production at RHIC text January 2005
Magnetic component of Yang-Mills plasma text January 2006
Wilson loops in heavy ion collisions and their calculation in AdS/CFT text January 2006
Small Shear Viscosity of a Quark-Gluon Plasma Implies Strong Jet Quenching text January 2007
Radiative energy loss of high energy quarks and gluons in a finite volume quark-gluon plasma text January 1996
Medium-induced radiative energy loss; equivalence between the BDMPS and Zakharov formalisms text January 1998
New Forms of QCD Matter Discovered at RHIC text January 2004
Perfect Fluidity of the Quark Gluon Plasma Core as Seen through its Dissipative Hadronic Corona text January 2005
Full result for the QCD equation of state with 2+1 flavors text January 2014
Full result for the QCD equation of state with 2+1 flavors text January 2014

Cited By (15)

Charged-particle nuclear modification factors in PbPb and pPb collisions at s N N = 5.02 $$ \sqrt{s_{\mathrm{N}\;\mathrm{N}}}=5.02 $$ TeV journal April 2017
Nuclear modification of leading hadrons and jets within a virtuality ordered parton shower journal February 2020
Interplaying mechanisms behind single inclusive jet suppression in heavy-ion collisions journal May 2019
Chiral symmetry breaking and monopoles in gauge theories journal July 2019
Measurement of the B ± Meson Nuclear Modification Factor in Pb-Pb Collisions at s N N = 5.02     TeV journal October 2017
Measurement of Prompt D 0 Meson Azimuthal Anisotropy in Pb-Pb Collisions at s N N = 5.02     TeV journal May 2018
Elliptic Flow of Charm and Strange Hadrons in High-Multiplicity p + Pb Collisions at s NN = 8.16     TeV journal August 2018
Studies of Beauty Suppression via Nonprompt D 0 Mesons in Pb-Pb Collisions at s NN = 5.02     TeV journal July 2019
Prompt and non-prompt $$J/\psi $$ J / ψ and $$\psi (2\mathrm {S})$$ ψ ( 2 S ) suppression at high transverse momentum in $$5.02~\mathrm {TeV}$$ 5.02 TeV Pb+Pb collisions with the ATLAS experiment journal September 2018
Prompt and non-prompt $$J/\psi $$ J / ψ elliptic flow in Pb+Pb collisions at $$\sqrt{s_{_\text {NN}}} = 5.02$$ s NN = 5.02 Tev with the ATLAS detector  journal September 2018
Diffusion of charm quarks in jets in high-energy heavy-ion collisions journal September 2019
Study of collective anisotropies $$v_2$$v2 and $$v_3$$v3 and their fluctuations in pA collisions at LHC within a relativistic transport approach journal January 2020
Studies of Beauty Suppression via Nonprompt D0 Mesons in Pb-Pb Collisions at √sNN=5.02 TeV text January 2019
Nuclear modification of leading hadrons and jets within a virtuality ordered parton shower text January 2017
Measurement of the B± Meson Nuclear Modification Factor in Pb-Pb Collisions at √sNN=5.02 TeV text January 2017

Figures / Tables (14)