Skip to main content
U.S. Department of Energy
Office of Scientific and Technical Information

Solar heating of GaAs nanowire solar cells

Journal Article · · Optics Express
DOI:https://doi.org/10.1364/OE.23.0A1363· OSTI ID:1240847
 [1];  [2]
  1. Univ. of Southern California, Los Angeles, CA (United States). Ming Hsieh Department of Electrical Engineering and Center for Energy Nanoscience; University of Southern California
  2. Univ. of Southern California, Los Angeles, CA (United States). Ming Hsieh Department of Electrical Engineering and Center for Energy Nanoscience
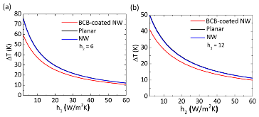
We use a coupled thermal-optical approach to model the operating temperature rise in GaAs nanowire solar cells. Our findings show that despite more highly concentrated light absorption and lower thermal conductivity, the overall temperature rise in a nanowire structure is no higher than in a planar structure. Moreover, coating the nanowires with a transparent polymer can increase the radiative cooling power by 2.2 times, lowering the operating temperature by nearly 7 K.
Research Organization:
Energy Frontier Research Centers (EFRC) (United States). Center for Energy Nanoscience (CEN); Univ. of Southern California, Los Angeles, CA (United States)
Sponsoring Organization:
USDOE Office of Science (SC), Basic Energy Sciences (BES) (SC-22)
Grant/Contract Number:
SC0001013
OSTI ID:
1240847
Alternate ID(s):
OSTI ID: 1369903
Journal Information:
Optics Express, Journal Name: Optics Express Journal Issue: 24 Vol. 23; ISSN 1094-4087; ISSN OPEXFF
Publisher:
Optical Society of America (OSA)Copyright Statement
Country of Publication:
United States
Language:
English

References (40)

Silicon Nanowires for Photovoltaic Solar Energy Conversion journal October 2010
Residual lattice absorption in gallium arsenide journal July 1977
Full-scale measurements of wind-induced convective heat transfer from a roof-mounted flat plate solar collector journal February 1998
Embedded benzocyclobutene in silicon: An integrated fabrication process for electrical and thermal isolation in MEMS journal October 2005
Temperature dependence of solar cell performance—an analysis journal June 2012
Silicon Nanowire Radial p−n Junction Solar Cells journal June 2008
Analysis of Optical Absorption in Silicon Nanowire Arrays for Photovoltaic Applications journal October 2007
Ordered Arrays of Dual-Diameter Nanopillars for Maximized Optical Absorption journal October 2010
Patterned Radial GaAs Nanopillar Solar Cells journal June 2011
Toward Optimized Light Utilization in Nanowire Arrays Using Scalable Nanosphere Lithography and Selected Area Growth journal May 2012
Direct-Bandgap Epitaxial Core–Multishell Nanopillar Photovoltaics Featuring Subwavelength Optical Concentrators journal March 2013
Efficiency Enhancement of InP Nanowire Solar Cells by Surface Cleaning journal August 2013
GaAs Nanowire Array Solar Cells with Axial p–i–n Junctions journal May 2014
Reduced Thermal Conductivity in Nanoengineered Rough Ge and GaAs Nanowires journal April 2010
Coaxial silicon nanowires as solar cells and nanoelectronic power sources journal October 2007
GaAs nanopillar-array solar cells employing in situ surface passivation journal February 2013
Erratum: Enhanced absorption and carrier collection in Si wire arrays for photovoltaic applications journal February 2010
Nanoscale thermal transport journal January 2003
Lattice Absorption in Gallium Arsenide journal October 1961
Comparison of the device physics principles of planar and radial p-n junction nanorod solar cells journal June 2005
Radiative cooling to low temperatures: General considerations and application to selectively emitting SiO films journal June 1981
Theoretical conversion efficiency of a two-junction III-V nanowire on Si solar cell journal July 2011
Nanoscale thermal transport. II. 2003–2012 journal March 2014
Theoretical consideration of III–V nanowire/Si triple-junction solar cells journal November 2012
Model of patterned self-assisted nanowire growth journal September 2014
Broadband absorption of semiconductor nanowire arrays for photovoltaic applications journal January 2012
Size-dependent thermal conductivity of nanoscale semiconducting systems journal April 2006
Design of Passivation Layers on Axial Junction GaAs Nanowire Solar Cells journal November 2014
Nanowires With Promise for Photovoltaics journal July 2011
Strong broadband optical absorption in silicon nanowire films journal July 2007
InP Nanowire Array Solar Cells Achieving 13.8% Efficiency by Exceeding the Ray Optics Limit journal January 2013
Nanowire Solar Cells journal August 2011
Optical absorption enhancement in silicon nanowire arrays with a large lattice constant for photovoltaic applications journal January 2009
Optimal design of aperiodic, vertical silicon nanowire structures for photovoltaics journal January 2011
Effect of aperiodicity on the broadband reflection of silicon nanorod structures for photovoltaics journal December 2011
Experimental broadband absorption enhancement in silicon nanohole structures with optimized complex unit cells journal January 2013
Performance-limiting factors for GaAs-based single nanowire photovoltaics journal January 2014
High-efficiency calculations for three-dimensional photonic crystal cavities journal January 2006
Higher-order incidence transfer matrix method used in three-dimensional photonic crystal coupled-resonator array simulation journal January 2006
Radiative cooling of solar cells journal January 2014

Cited By (4)

GaAs Nanowires Grown by Catalyst Epitaxy for High Performance Photovoltaics journal August 2018
Radiative cooling by tailoring surfaces with microstructures preprint January 2018
Radiative sky cooling: Fundamental principles, materials, and applications journal June 2019
Self-adaptive radiative cooling based on phase change materials journal January 2018

Figures / Tables (7)